Basic programming course: Lesson #3 Operations
Hoy introduciremos a nuestros conocimientos el uso de las operaciones aritméticas, las de comparaciones y las lógicas. Haremos uso práctico de cada una de ellas a continuación en la tercera práctica del curso básico de programación.
| Da un breve resumen de para que sirven las operaciones aritméticas, de comparación y lógicas. |
|---|
- Las operaciones aritméticas: son fundamentales para resolver problemas matemáticos, aportando una solución precisa e inequívoca; entre las operaciones aritméticas están: la suma (+); resta (-); multiplicación (*); división (/) y módulo (%). Para comprobar su uso y eficacia, lo mostraré en un simple ejemplo práctico.
- Las operaciones de comparación: son para determinar si una operación es verdadera o falsa. Para ellas usaremos los operadores de comparación (==) para determinar si un valor es igual al otro. Para saber si un valor es diferente a otro usaremos (!=) y para saber si un valor es mayor que otro usaremos el operador (>). Pasa comprobar si el valor es menor que el otro usaremos (<). Para comprobar si un valor es mayor o igual a otro usaremos el operador (>=) y si queremos comprobar si es menor o igual un valor al otro entonces usaremos (<=).
En las operaciones de comparación, los resultados siempre serán (VERDADERO) ó (FALSO).

Ejemplo práctico de operaciones aritméticas y operaciones de comparación
- Las operaciones lógicas: cumplen la función de evaluar si dos operaciones comparativas se cumplen.

Comprobación de operaciones lógicas
Lo interesante de estas operaciones es que sirven para comprobar si una o mas operaciones de comparación se cumplen. Entre las operaciones lógicas están:
- Y lógico: (&) ó (AND) se usa para comprobar que las dos expresiones se cumplan irrestrictamente.
- Ó lógico: (||) ó (OR) se usa para comprobar si al menos una de las dos expresiones de comparación es verdadero.
| Haz un programa que pida al usuario 2 números y evalúe si ambos números son iguales. |
|---|
Algoritmo operacion_de_Comparacion
Definir numero1, numero2 Como Entero;
Definir comparar Como Logico;
Imprimir "Introduce tu numero1: ";
Leer numero1;
Imprimir "Introduce tu numero2:";
Leer numero2;
Imprimir "El numero " numero1 " es igual a " numero2 "? " numero1==numero2;
FinAlgoritmo
Código de ejercicio comparación de dos números

Ejecución programa: comparación de dos números: resultado falso

Ejecución programa: comparación de dos números: resultado Verdadero
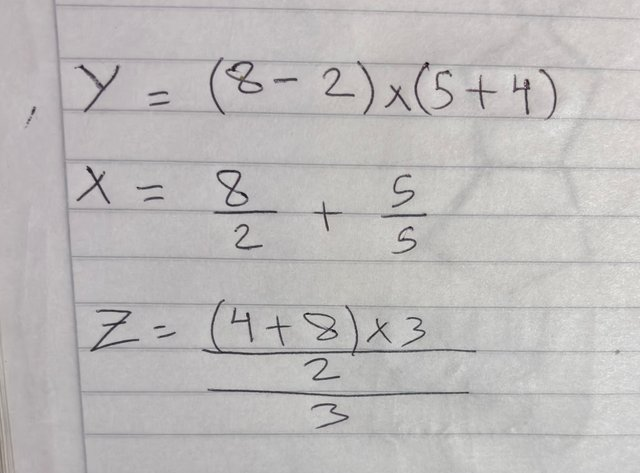
| Transforma las siguientes expresiones matemáticas a expresiones aritméticas en tu computadora: |
|---|
Y=(8-2)* (5+4)
X=( (8/2) +( 5/5))
Z= (((4+8)*3)/2)/3
Evalúa si los resultados de las 3 operaciones son mayores o iguales que 0 (>=) y muéstralo en pantalla.
Algoritmo EJERCICIO_graceleon
Definir Y1, X1, Z1 Como real;
Y1=(8-2)* (5+4)
X1= ((8/2) + (5/5))
Z1= (((4+8)*3)/2)/3
Imprimir "El RESULTADO DE LA OPERACIÓN DE (8-2) * (5+4) es: " Y1 ;
// >= Igual a
Imprimir "El numero " Y1 " es mayor o igual a " 0 "? " Y1>=0;
Imprimir "El RESULTADO DE LA OPERACIÓN DE ((8/2) + (5/5)) es: " X1 ;
// >= Igual a
Imprimir "El numero " X1 " es mayor o igual a " 0 "? " X1>=0;
Imprimir "El RESULTADO DE LA OPERACIÓN DE (((4+8)*3)/2)/3 es: " Z1 ;
// >= Igual a
Imprimir "El numero " Z1 " es mayor o igual a " 0 "? " Z1>=0;
FinAlgoritmo
Capture de pantalla de las operaciones aritméticas y su ejecución.
Bien, ha sido un verdadero placer y un gran aprendizaje el de hoy, en donde pudimos estudiar las operaciones aritméticas básicas; las operaciones de comparación y las operaciones lógicas.
Quiero invitar a mis amigos @yolvijrm, @bellana y @oneldoors a participar en el Basic programming course: Lesson #3 Operations





Your post has been rewarded by the Seven Team.
Support partner witnesses
We are the hope!