Interesting facts (32/365)
A surprising equality and other absurd but correct calculations
I saw Twitter pass this equality, which at first glance is somewhat peculiar and even surprising:

With the calculator you can check that effectively sqrt (2 + 2/3) = 1.6329 ... and 2 * sqrt (2/3) = 1.6329 ... (Note: the first value is a mixed fraction).
It is an example of what Pat Ballew, a retired math teacher, calls surds, a word that comes from a play on English words about square roots and the "absurdity" of what we might call "wrong and absurd, but correct calculations. »That are sometimes shown as mathematical humor. In these absurdities practically "anything goes", as in the classics:

In which despite everything, the equality is still correct (!)
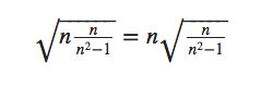
According to Ballew, the example of the square root can be "generalized" to astonish staff with much larger values:

Which if done with care and "round numbers" is much more sympathetic.
As a bonus, two other classicizations of this theme:

If you liked or it was useful, do not forget to follow me, leave me your vote and if you want you can buy me a beer
with this you help me a lot and I can write content of better quality in the future.
