퀴즈 587, 588 풀이steemCreated with Sketch.

in #kr-quiz6 years ago

퀴즈 587 니번 수//하샤드 수


하샤드 수 혹은 니번수라고 불리는 숫자는 주어진 진법에서 그 수의 각 자릿수 숫자의 합으로 그 수가 나누어 지는
양의 정수를 말한다.

대표적으로 12는 1+2 인 3의 배수로 적혀 하샤드 수가 된다. 또한 1-10의 자연수는 모두 자명하게 하샤드 수가 된다.

11부터 50까지의 숫자 중 하샤드 수는 모두 몇개일까?

c.f) 하샤드 수 문제는 알고리즘 프로그래밍의 단골 소재이다.

사실 직접 세어봐도 되고 가볍게 프로그래밍을 해보아도 좋은 문제이다.

12, 18, 20, 21, 24, 27, 30, 36, 40, 42, 45, 48, 50

c.f) https://namu.wiki/w/%ED%95%98%EC%83%A4%EB%93%9C%20%EC%88%98

그냥 간단히 넘어가고 시간이 좀 걸렸던 다음 문제를 풀이해 보려고 한다.

퀴즈 588 사막횡단3


이번엔 짧은 사막 횡단 문제이다. 15km 짜리 사막이 하나 있다.

전동킥보드로는 시속 15km 를 걸어서는 시속 5km 로 간다고 하자.

전동킥보드에는 최대 2명이 탈 수 있다.

전동킥보드가 2대 있고 사람이 5명이 있다면 사막횡단하는데 최단 몇 시간이 걸리는가?

hint : "전동킥보드에는 최대 2명이 탈 수 있다." 를 이용하자

풀이

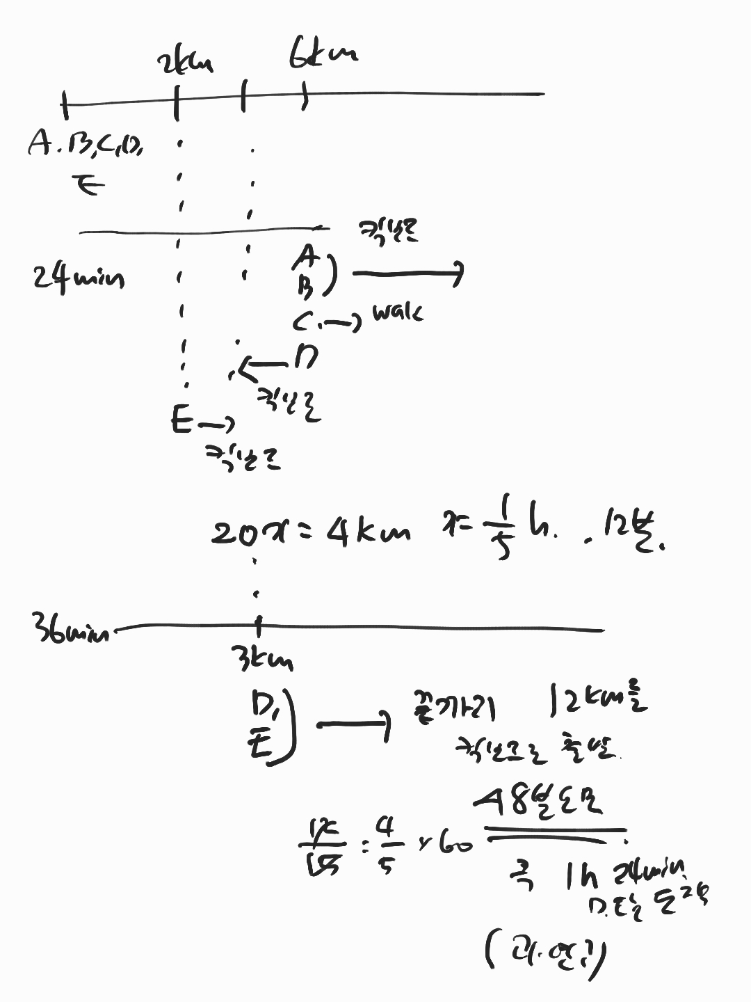
먼저 아이디어는 최종적으로 마지막에 킥보드 2대와 사람이 같이 들어오게 끔 하는 것. 즉 킥보드를 놀리지 않고 계속 운영한다는 것이다.

퀴즈 586번 문제로 보면 3명이 킥보드 하나로 15km 를 가는데 걸리는 시간이 2시간이 걸렸으니 이번 문제에서는 1시간에서 2시간 사이의 시간이 답이 될 거라는 것을 먼저 추측 할 수 있다.

또다른 생각할 거리는 처음에 도태되는 한명[그사람을 E 라 하자] 그 사람은 걷고 그 뒤부터는 계속 킥보드를 타게끔 하는 것이다. 사실 이렇게 생각하면 처음 멈추어야 할 지점이 6km 가 되는 것을 쉽게 구할 수 있다. 이 6km 지점만 알면 사실 나머지는 그냥 586번처럼 만나는 데 걸리는 시간 등등 생각해서 계산하면 바로 풀리는 문제이다.

Notes_200912_010615_5.jpg

Notes_200912_010615_6.jpg