퀴즈 592, 595 풀이
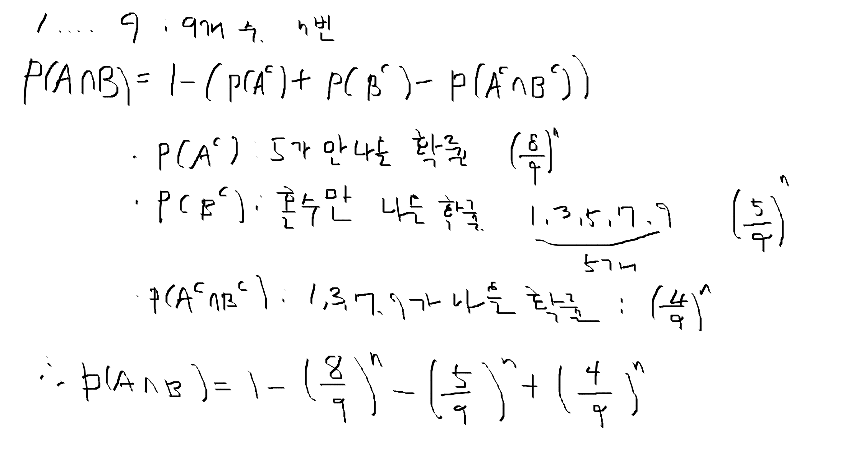
퀴즈 592 카드와 10의 배수
이 문제는 이전 문제인 주사위 눈과 10의 배수와 본질적으로 같은 문제이다.
1,2,3, ... , 9 를 써 놓은 9장의 카드가 들어있는 주머니가 있다.
이 주머니에서 카드 한 장을 뽑아 숫자를 기록하고 다시 주머니에 카드를 넣는다.
이러한 시행을 n 번 반복하고 적은 n 개의 수를 다 곱하자.
이 수가 10의 배수가 될 확률을 구하여라.
풀이
10의 배수란 것은 2와 5의 배수라는 것이다.
n 개의 수 중 5가 적어도 한 개인 사건을 A 짝수가 적어도 한 개인 사건을 B 라 하자.
P(A cap B) 를 구하면 된다.
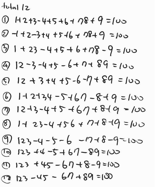
퀴즈 595 1에서 9
1에서 9 숫자가 순서대로 늘어서 있다. +, -, 만 이용하여 100을 만들어 보자.
[다만 연속된 숫자를 붙여 두자리나 세자리 수를 만들 수 있다고 하자.]
[참고로 가능한 조합이 총 12가지라고 한다.]
답
총 12가지가 존재한다.

