퀴즈 596, 597 풀이
퀴즈 596 숫자 외치기 게임
친구와 둘이 숫자 부르기 게임을 한다고 하자.
예를 들어 A 가 4를 B 가 5 를 외쳤다면 9가 되고 다시 A 가 3을 외치면 그 숫자는 9+3=12 가 된다.
이렇게 숫자를 외치며 더해가면서 100에 도달하는 사람이 이기는 게임을 한다고 할 때
먼저 숫자를 외치는 것이 유리할까 나중에 숫자를 외치는 것이 유리할까?
풀이
나중에 외치는 것이 유리하다. 1부터 9까를 외칠 수 있으니 거꾸로 내가 90을 외칠 수 있으면 이길 수 있게 된다.
내가 90을 외치면 상대방은 최대 99까지 밖에 외치질 못하니 내가 90을 외칠 수 있으면 된다. 그러면 어떻게 하면 90을 외칠 수 있을까?
이는 80을 외칠 수 있으면 된다. 그러면 어떻게 하면 80을 외칠 수 있을까? 위 과정을 반복하면 결국엔 10을 외칠 수 있는 자가 승기를 가져간다는 것을 알 수 있다. 처음부터 시작한 사람은 10을 외칠 수 가 없으니 [1부터 9 사이의 숫자만 외칠 수 있으니까] 무조건 나중에 한 사람이 유리하다는 것을 알 수 있다.
퀴즈 597 소수의 세제곱근
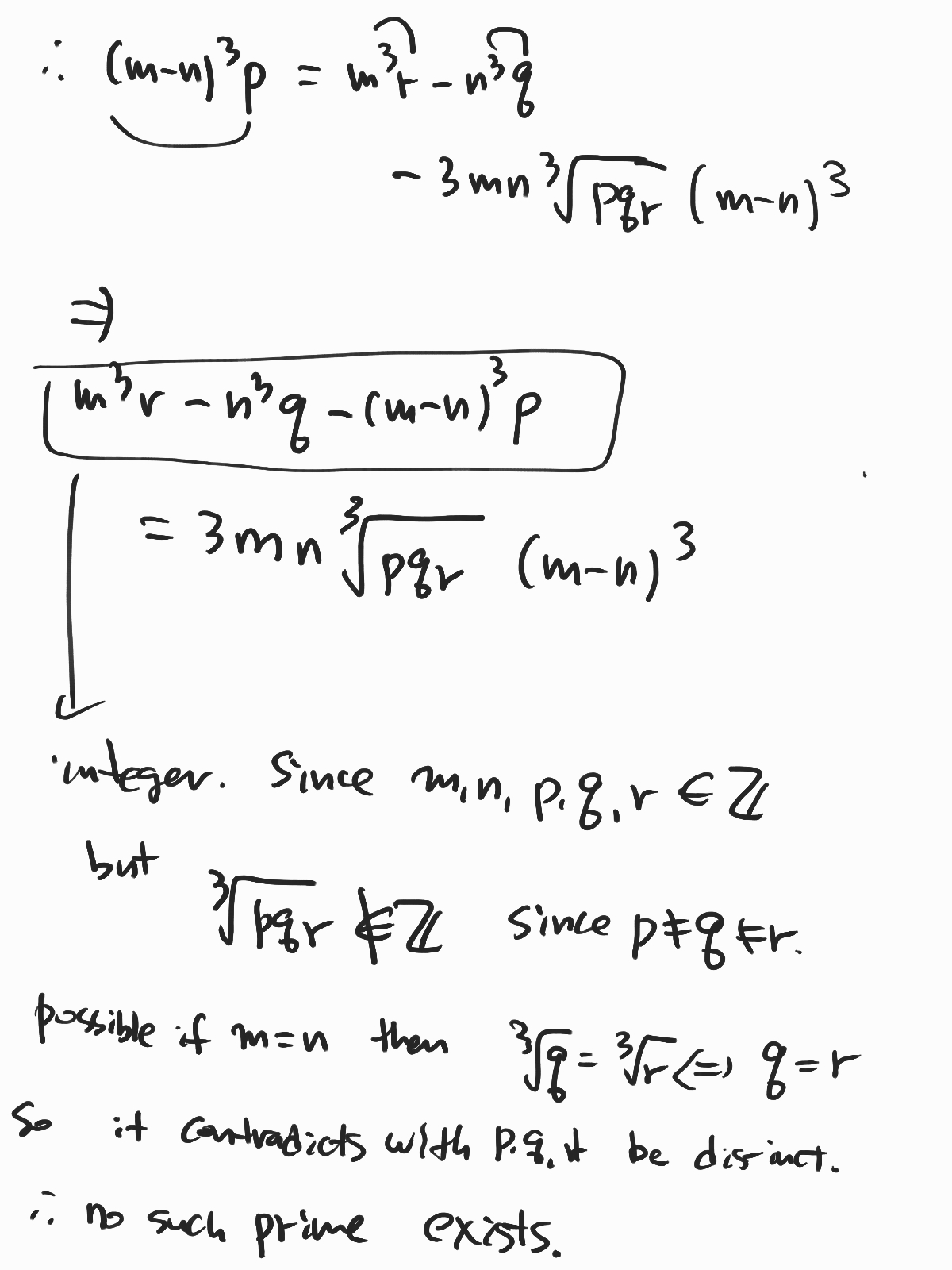
3개의 서로 다른 소수의 세 제곱근은 등차수열의 세 항이 될 수 없음을 보여라.

