[스터디] Discount factor m 의 세가지 해석
이번주 스터디 주제중 하나는 Complete market 이란 것이다. Complete market 과 Incomplete market 의 차이점과 거기에 적용되는 여러 상황들을 알아보려고 하는데 아무리 봐도 이 Complete market 을 제대로 이해하기가 쉽지가 않다.
4주차 John H. Cochrane 의 판서는 알아들을 수 없게 적혀 있었다.
All contingent claims are available 이라고 쓰여져 있고 강의에서도 contingent claim 이야기 말고는 크게 언급하는게 없었다. Contingent 란 우리말로는 조건부(?) 정도 되려나? fiance 용어에서는
또 이리저리 정의를 한다. Complete market 을 이해하기 위해서 Contingent claim 을 이해해야 할 것 같아 책을 펼쳤다.
책의 설명으로 인하면 Complet market 은 어떠한 contingent claim 이라도 살 수 있는 시장을 이야기 한다. 흠 근데 내가 영어를 잘 못 해석해서 그런가 contingent claim 의 설명이 wiki 의 설명과 좀 달라 보인다.
Complete market 을 이해하기 위해서 위키피디아를 찾아 보았다.
즉 no transaction fee 에 모든 자산에 가격이 정해진 시장을 이야기한다라.
왜 John 은 이 complete market 과 contingent claim 을 중요하게 언급했을까? [ Complete 시장에서는 자기와 Bill gates 둘다 시장에서 돈을 벌 때는 벌고 잃을 때는 잃는다는 이야기를 했는데 이 점으로 complete market의 성질 중 하나를 알 수 있었다. Perfect Risk?]
4주차 a-section 에서 교수는 Complete market 에서 P=E(MX) 공식의 discount factor 관련 이야기를 하며 이 공식의 여러가지(3가지?) 해석을 설명하고 있다.
1
대표적으로 pc(s) 를 오늘의 contingent claim 의 가격이라고 하면
[첫번째 식에서 가격은 bundle of contingent claim 이라면서 저 식을 썼는데, 책의 설명을 통해 어느 정도 이해가 됬다.
Price a happy meal = price of one hamburger + price of one small fries + prie of one small drink + ...
즉 앞의 p(x) 는 하나의 사건(?) 상품(?) 이고 뒤에 것들은 그 상품의 구성 성분이라고 봐야 할까?]
교수는 이 식들을 유도하면서 complete market 에서는 stochastic discount factor m 을 pcs(s)/pi(s) 로 쓸 수 있다는게 의미있는 일이라고 한다. [그리고 Q&A 시간의 조교의 질문으로 보면 이 expression 이 unique 하다는데 어딜 봐서 그렇다는 거지? ㅋㅋㅋ 이 사람들은 exists 와 unique 를 제대로 아는 걸까? ]
2
그 뒤에는 이 m 을 해석하는 두번재 방법[Risk-free]을 설명한다. 두번째 식 유도하는 것 까지는 그럴듯 했는데 이 해석은 잘 이해가 가지 않는다. 왜 real probability 와 subjective probability 두 개를 따로 정의하고 그 둘 사이를 이상하게 연결 시켰을가?
이 식은 정의를 다시 적은 것에 불과한데 왜 이런 정의를 했는지 모르겠다.
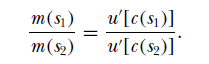
3
세번째 m 에 대한 해석은 investor 의 관점에서 보자고, utility function 을 도입하고 그것의 extermize 하면서 등장한
식의 해석이다. m is the marginal rate of substitution between date-and state-contingent commodities.
흠 강의는 진짜 짧고 간결한데 뭔가 그냥 다들 아는 것을 summary 해준다는 그런 느낌이라 나 같은 사람들은 이해하기가 정말 힘든듯.... 제대로 된 이해를 위해 두번이나 강의를 들어야 하나? 영어를 잘 못 해서 그런건가 아니면 용어의 문제인가 1시간 반 강의를 들어놓고도 그냥 영어 Listening 을 한다는 느낌만 들어서 엄청 불쾌한 경험을 계속 하고 있다. ㅠㅠ






