[스터디] GMMsteemCreated with Sketch.

in #kr-study6 years ago

이번주 Cochrane 교수의 Asset pricing 강의 스터디 내용은 GMM[Generalized method of moments] 란 주제다. 계량경제학의 통계학적인 토대라고 하는데 이를 위해서는 먼저 통계에 대해서 알아야 할 필요가 있다.

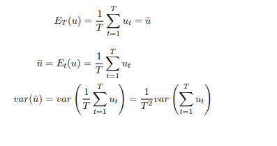
u_t 를 sample 이라고 하자. [sample 은 t 초 data 를 모아 놓은 것을 의미한다]. u_t 는 random variable 로 평은 음과 같이 정의한다.

image.png

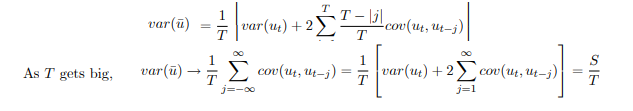
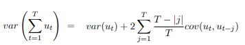
먼저 variance 의 공식을 살펴보자.

image.png

이 공식으로 인해 첫번째 경우를 생각해보자.

1 ) u_t 가 stationary 즉 Var(u_1) = Var(u_2) = ... = Var(u_T) 그리고 uncorrelated 인 상황 Cov(u_t, u_{t+i})=0.


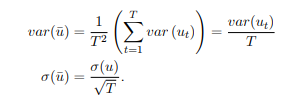
이 경우는 우리가 잘 알고 있는 그 분산과 표준편차의 형태가 나온다.

image.png

2) stationary but correlated



좀 더 일반화된 경우를 생각해보자. correlated 인 경우에는 variance formula 의 cross term [cov] 항이 0이 아니다. 공식을 그대로 대입해보면

image.png

그리고 T 를 키우면

image.png

먼저 이 식의 의미는 correlated 가 크다면, sample mean 의 데이터가 정확하지 않다는 것이 된다. [Var 가 커지니까]

이 두번째 형태의 가장 유명한 경제-통계학적 모델은 AR(1) 이 있다.


자 이제 본격적인 GMM 에 대해서 알아보자. Cochrane 의 asset pricing 책 chapter 10 의 내용이다.

image.png

일단 GMM 이란게 평균이랑 관련되어 있다는 것은 알겠다.

그래서 뭐하자는 건가? 책을 보면 그냥 표가 달랑 주어져있고 끝이다.

image.png

강의를 통해 파악한 바는 이렇다.

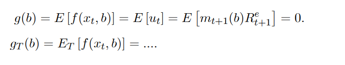
1 ) 먼저 Express model as a mean of $f(data, parameter)=0$.

즉 예를 들어 p=E(mx) 공식을 생각한다면 discount factor 에 "b" 라는 vector of an unknown parameter 를 도입한다.

image.png

2 ) 이제 sample 즉 population moments 를 보자

image.png

3 ) Estimation

그 뒤에는 sample 로 부터 얻은 b_T 를 가지고 E_T 를 0에 가깝게 만들도록 하자. 그리고 이것의 standard error 를 구하고 test 를 하라는 것이 강의에서의 dictionary 였다.

이 과정을 GMM notation 으로 바꾼 것이 위의 표인 것이다. [1번 과정을 g(b) 2번 과정을 g_T(b) 로 표시]

image.png

그리고 Estimation 을 한다.

image.png

여기서 a_T 란 것은 matrix 로 g_T(b) 의 linear combination set 을 말한다.

책과 강의에서는 CAPM의 예제를 가지고 이를 보였다.

4 ) Distribution

b_T - b 를 구한다. [책에서는 Hansen (1982) 의 논문의 결과 만을 state 하고 있다. 강의에서는 좀 더 설명을 해 주고 있긴 하다. 강의의 부록 노트에는 a_T g_T(b_T) =0 의 taylor series 로부터 복잡한 var(g_T(b_T)) 공식을 얻어낸다.

image.png

5 ) Efficiency

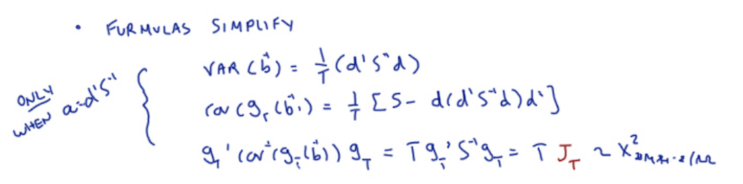
어떤 a_T 를 잡아야 하는가? ANS : Minimize sigma(b_T) ! a= d S^{-1} 이러면 GMM 공식이 많이 간단해진다. [다른 방식으로는 W matrix[Weight matrix] 를 도입하여 구하기도 한다.]

image.png

이 과정이 OLS (Ordinary Least squares) 와 GLS Generalized least squares) 등과 연관이 있다고 하고 후반부 강의에서 GMM 의 limit 으로써 OLS와 GLS 를 설명하는데 솔직히 여긴 무슨 말을 하는지 모르겠다.

Sort:  

오 gmm은 처음 봐요

원래는 통계 용어더라구요

E(X^1), E(X^2), E(X^3) ... 관련된 항들을 (Generalized) Momentum 이라 부르더군요. [저것들이 평균인 mu 와 Sigma 로 다시 적힐 수 있음. 대표적으로 제평평제 공식이 E(x^2) 에 해당되는 것] [Generalized 는 모/표본 관련]

경제학에서는 조금 다르게 쓰이긴 하는데 저 구조가 들어가 있긴 해서 이름은 같게 쓰는 것 같더라구요