• Sign in
  • Sign up 
  • Welcome
  • FAQ
  • Switch to Night Mode
  • Stolen Accounts Recovery 
  • Change Account Password 
  • Vote for Witnesses 
  • Steem Proposals 
  • Third-party exchanges:
  • Poloniex 
  • Advertise 
  • Jobs at Steemit 
  • Developer Portal 
  • Steem Bluepaper 
  • SMT Whitepaper 
  • Steem Whitepaper 
  • Privacy Policy
  • Terms of Service
Home
EN▾
LoginSign up

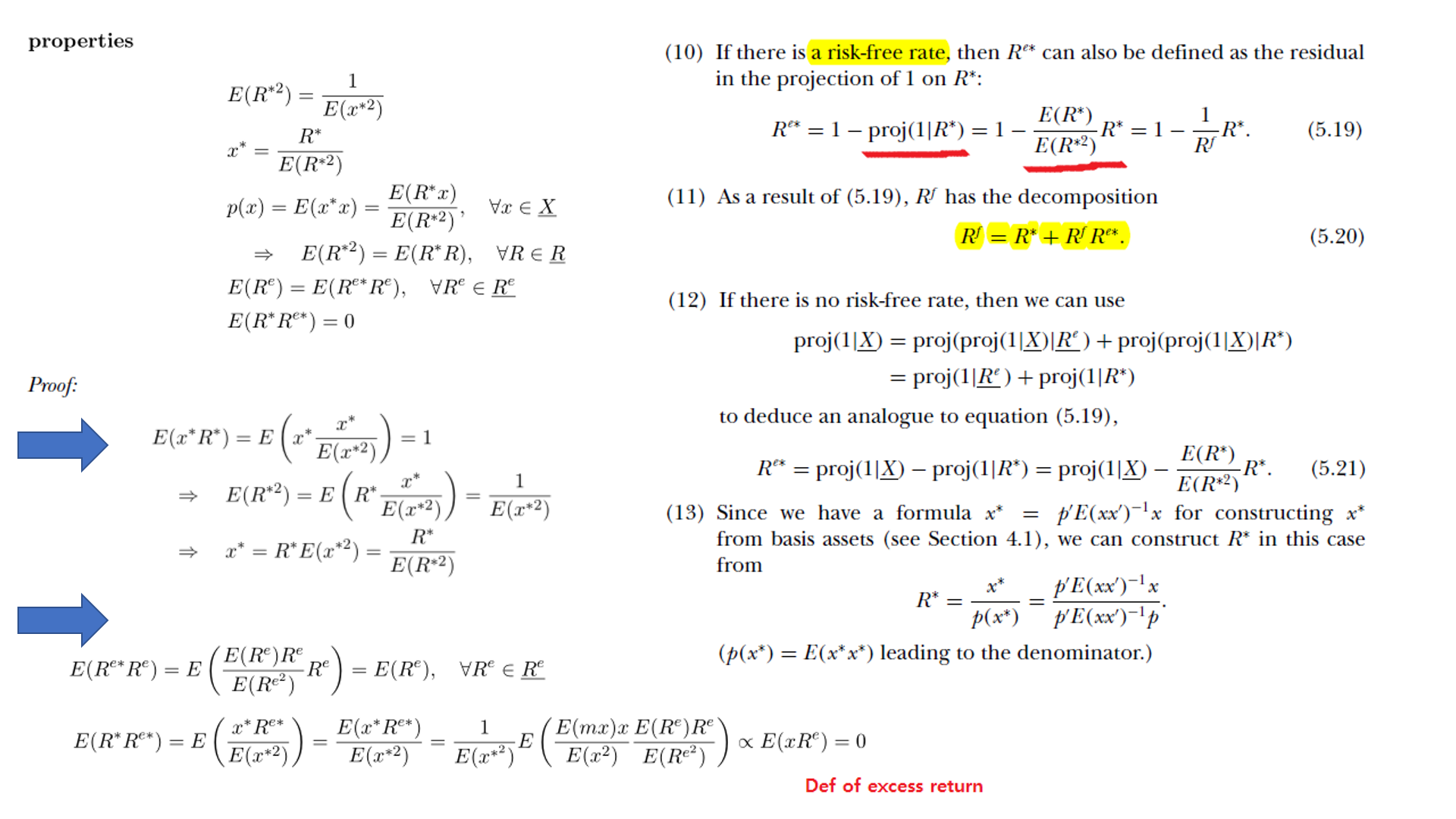
[Study] Module 5 발표자료steemCreated with Sketch.

beoped (73)in #kr-study • 6 years ago

1

image.png

2

image.png

3

image.png

4

image.png

5

image.png

6

image.png

7

image.png

8

image.png

9

image.png

10

image.png

11

image.png

참고자료

John H. Cochrane, Asset pricing 책 + 강의 + 계산유도

#kr #zzan #cochrane
6 years ago in #kr-study by beoped (73)
$1.18
  • Past Payouts $1.18
  • - Author $0.59
  • - Curators $0.59
5 votes
  • + brent1042
  • + beoped
  • + gogumacat
  • + zzan.hmy
  • + zzan.co3
Reply 0