[스터디] Utility function/Habit and Recursive
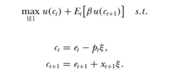
Cochrane 의 첫번째 주 강의 에서 처음 Utility function 을 배웠다. Cost 를 input 으로 하고 Utility function 을 가지고 extermize를 하면서 그 유명한 p=E[mx] 공식을 유도했다.
그 뒤로 Utility function 은 Asset pricing model 들의 유도 과정에서
등장했었고 한동안은 Cochrane 강의에서는 GMM, GRS, regression 와 통계적 접근법을 다루어서 등장하지 않았다가 최근에 다시 등장했다.
Utility 란 말을 공리주의에서 들었던 것 같은데 아마 경제학자들이 공리주의의 Utility 를 가져다 쓴 것이 아닐까 싶다.
일반적인 cost 에 대한 power series 만 알고 있었는데 오늘 Habit 과 recursive Utility function 을 배웠다.
Habit Utility function 은 사람들은 소비에 대해 매우 쉽게 익숙해진다는 것을 말한다.
가장 많이 드는 예가 바로 비행기이다. 이코노미석에서 이코노미 퍼스트를 타게 되면 퍼스트에 익숙해지게 되고 경제적 여유가 있다면 퍼스트를 소비하고 다시 이코노미로 돌아가는 것을 거부하게 된다.
즉 내 재정상태가 좋아서 소비가 늘어났을 때 소비가 감소하는 방향으로 가지 않는다는 것을 표현한게 Habit Utility function 이다. 이것을 수학적으로 나타내면 (C_t)^{1-\gamma} 형태가 된다 그래프로 보면 대략
Habit의 risk aversion 은 endogenous 한데 exo[ 즉 외부] 보다는 나의 현재 상황에서 소비 성향과 관련이 있어서 그렇다. 어제의 소비는 오늘의 소비에 영향을 주니까 Habit 은 결국 시간과 영향이 있을 것이다.
두번째로 배운 것은 Recursive Utility 인데 이건 따로 가르키는 용어가 있었다.
Utility 함수 자체가 재귀적으로 생겼고 time 과 risk aggregator 로 이루어져 있다고 한다. aggregator 하면 모으는 것을 말하는 건가? wiki 를 봤는데도 아직 저 두 용어가 정확히 뭘 말하는지 이해가 안간다. Cochrane 의 강의에서는 Habit 이나 Recursive 나 특별한 말 없이 수식만 주고 계산하면 공식을 유도할 수 있고 그래서 이렇다 정도로만 설명하는데
이렇게 하나씩 찾아가면 좋긴 한데 ㅋㅋㅋ
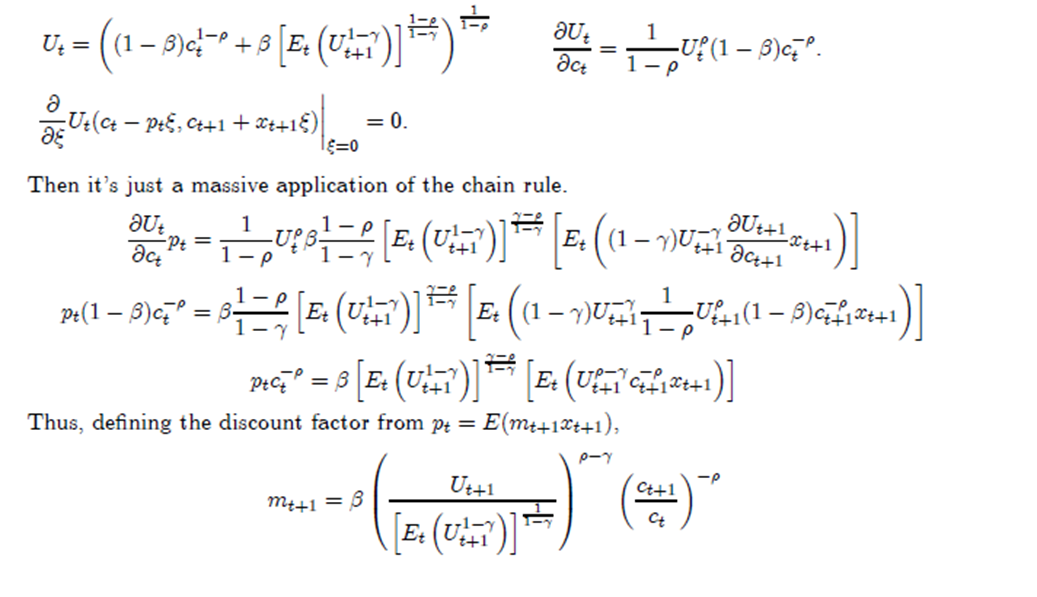
솔직히 계산은 별로 어려운 것이 없어서... 대표적으로 노트의 식
을 따라가봤는데 역시 저자(?) 경제학자의 노테이션이 정말 암울하다.... ㅋㅋㅋㅋ 뭐 뭔 말인지 알긴 알겠는데, 그냥 경제를 아예 모르는 수학자가 봤을 때 저 식들을 제대로 따라가기가 쉽지가 않다. [경제 관련 notation 이 뭔지 알면... 아니면 나 처럼 저 식이 참이라고 했으니 뭐가 어떻게 된건지 거꾸로 파악하면...]
아무튼 이번주는 내가 발표할 차례라 절반 이상 두번 넘게 듣긴 했는데 아직도 이해가 안가는 부분들이 많아서 좀 더 책을 읽거나[그러고 보니까 요즘 cochrane 의 책은 안 읽고 그냥 넘거나는듯? ] 좀 쉬운 클립들이나 자료들을 검색해 봐야겠다.
저녁도 안 먹고 뭐하는지 ㅋㅋㅋ




