WhereIN对WhereIN&CNSTM令牌持有者进行第一批空投,合计70位
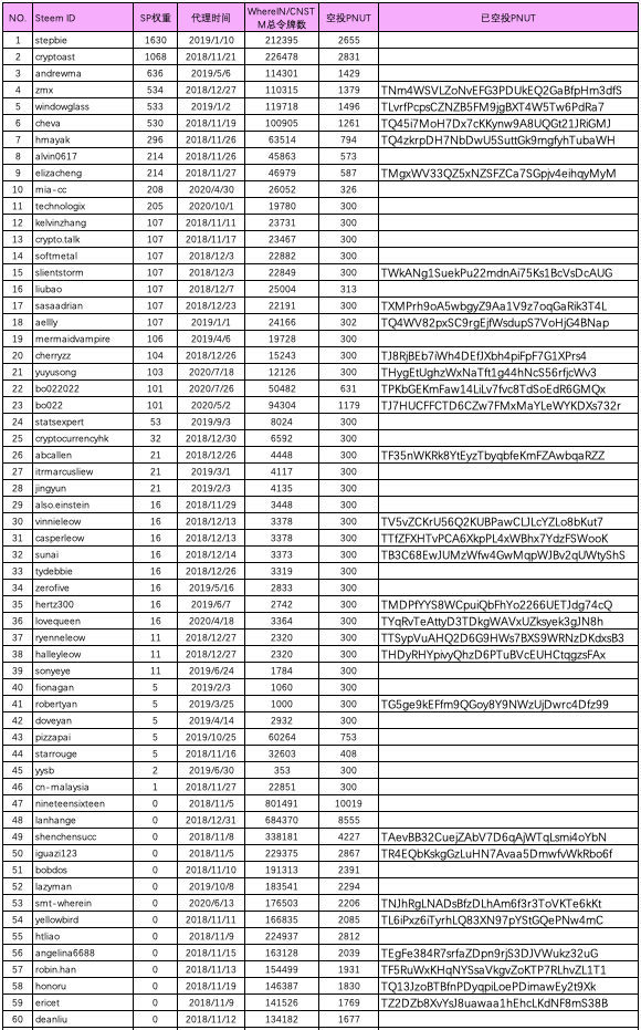
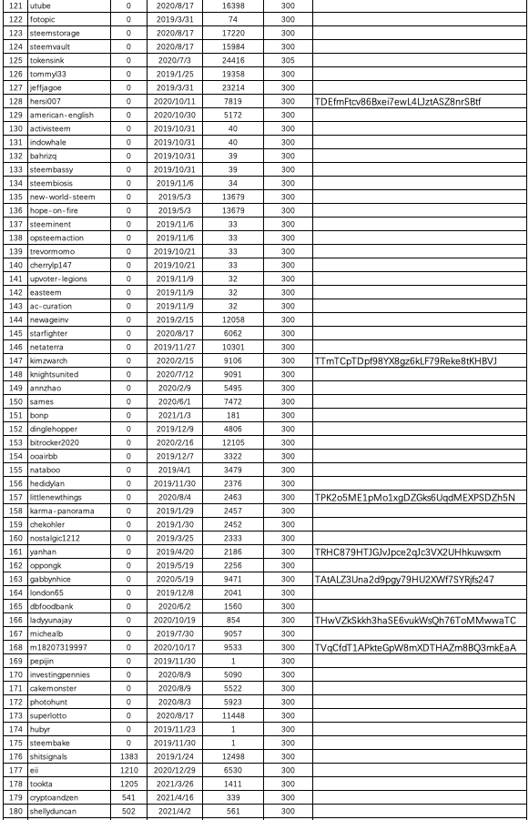
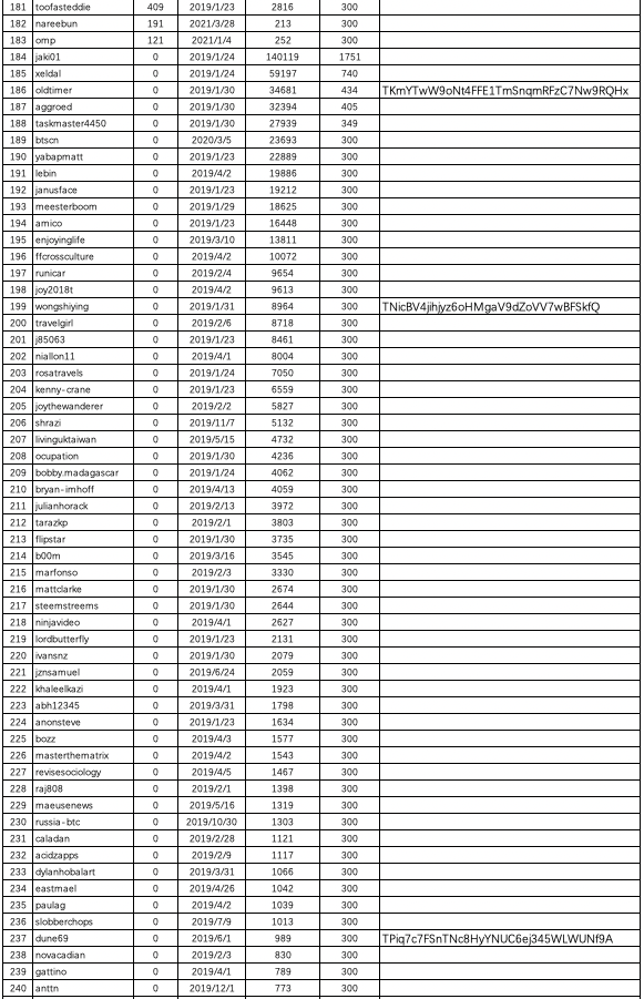
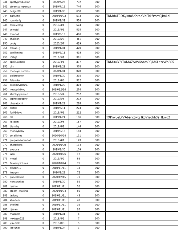
WhereIN在昨天上午12:50-13:15(2021.5.12 UTC+8),对符合空投要求,且已收集到的Tron id进行了空投。本批次空投账户数达70个,空投了近5万PNUT。
请符合空投要求,但还未获得PNUT空投的社区成员,在本帖留言提供tron id或者登录peanut.nutbox.io代理至少1 SP。第二批次空投将于2021年05月19日展开。
You may visit Google docs for further detail:https://docs.google.com/spreadsheets/d/1B5okaQKSZkXzKo2u0WG2tOVteQvEmev7FaFHAL0XDf0/edit?usp=sharing
详细空投数据:https://docs.google.com/spreadsheets/d/1B5okaQKSZkXzKo2u0WG2tOVteQvEmev7FaFHAL0XDf0/edit?usp=sharing
Telegram:https://t.me/nutbox_defi
Discord:https://discord.gg/zPkMuGY
Korea:https://open.kakao.com/o/g0wdemYc
China:Wechat Group _ Steem DeFi
Relative Info:
Website:https://nutbox.io/
Exchange PNUT:https://justswap.org/#/scan/detail/trx/TPZddNpQJHu8UtKPY1PYDBv2J5p5QpJ6XW
Vote For US
Please vote for our witness nutbox and smt-wherein:
-smt-wherein
https://steemconnect.wherein.mobi/sign/account-witness-vote?witness=smt-wherein&approve=1





真的佩服👍大佬带带我吧,我要跟你学习🤔
[WhereIn Android] (http://www.wherein.io)
说,瓜子老板很帅。
!shop
[WhereIn Android] (http://www.wherein.io)
你好鸭,wherein!
@zhangyan-123给您叫了一份外卖!
单身狗粮

吃饱了吗?跟我猜拳吧! 石头,剪刀,布~
如果您对我的服务满意,请不要吝啬您的点赞~
Nn
Necesitas hablar con nuestra curadora principal española @sampraise
No entendemos el idioma japonés.
呀剛剛才知道,還趕得及嗎?
TQPh2paGQWYD1UxZTZSihi43fRRSXzNr1p
感谢分享
[WhereIn Android] (http://www.wherein.io)
謝謝老闆
[WhereIn Android] (http://www.wherein.io)