❄️ Chemistry by Chang – Problem 1.40 | Unit Conversion: Density of Ammonia Gas | Steemit Science
Hello Steemit chemistry enthusiasts! 👋⚗️
This exercise comes from Raymond Chang’s Chemistry (14th Edition), in Chapter 1: Measurement and the Properties of Matter.
It focuses on converting density units, an essential skill for working with gases, liquids, and solids in both laboratory and industrial settings.
🔹 Problem 1.40:
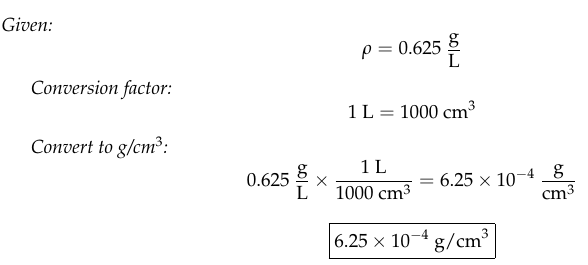
Ammonia gas is used as a refrigerant in large-scale cooling systems.
The density of ammonia gas under certain conditions is 0.625 g/L.
Calculate its density in g/cm³.
This problem is a great example of dimensional analysis in action — showing how a small difference in units can significantly change numerical values.
Since gases are often measured in liters, converting to cubic centimeters allows for easier comparison with the densities of liquids and solids.
📸 Here’s my full step-by-step conversion:
Ammonia has been used for decades as an efficient refrigerant — but did you know it’s also being revisited as a potential carbon-free energy carrier? 🌍💨
Let’s discuss its fascinating properties in the comments! 💬
Follow me for more chemistry problems, conversions, and real-world applications from Chang’s Chemistry.
