numeros primos infinitos
A través de la historia hubo un gran aumento en el avance tecnológico, lo que conllevo al entendimiento de los fenómenos naturales y problemas generados por la humanidad o sociedad el cual viene fuertemente ligado, y desarrollado con el entendimiento y diversos uso de los números naturales, primos, complejos entre otros, generando problemas populares y de cierto carácter interesante y divertido en la comunidad científica respectivamente impulsando a las mentes mas brillantes de cada año a desarrollar y comprobar teoremas.
Uno de las tantos casos destacados en la historia es del señor fibonacci conocido popularmente con ese nombre pero su nombre de pila es Leonardo de Pisa, fue un matemático italiano el cual difundió la utilidad del sistema de numeración indo - arábigo frente a la numeración romana, obteniendo que de manera mas resumida y una de las ultimas obras de su legado es la secuencia de fibonacci, una secuencia sencilla pero poderosa.
es cierto que este ámbito no es para todo el publico en cuestión, pero en retrospectiva es uno de los mas influyentes para los aficionados.
Hoy en día, están a prueba las mentes mas brillantes relacionadas a este entorno, para encontrar la solución a diferentes problemas matemáticos, como la conjetura de goldbach, que relaciona cierta característica de los números primos, que para esta publicación es el principal objeto de interés, se sabe que los numero primos son el conjunto de números no divisibles en partes iguales, pero si por ellos mismos y por la unidad, es por esta razón que se busca implementar y entender estos grupos de números.
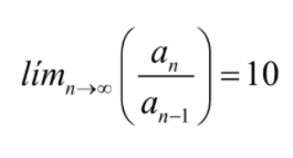
este año 2020 sale un nuevo conjunto de números denominados números de RIVERA, este conjunto tiene relación con los números felices ya que los números felices, se denominan así ya que dan como resultado la unidad proveniente de la suma al cuadrado de cada elemento que representa la cifra, es decir, que la suma de los números por separados y elevados al cuadrados deben de dar 1, entonces, el conjunto rivera viene dado por un limite que tiende a infinito de An/An-1, obteniendo una secuencia de números primos pertenecientes a los números felices, cabe destacar que la secuencia viene dada por un aumento del múltiplo 10, es decir que el numero 49 en la secuencia de los números de rivera, seria tal que 409, 4009, por lo tanto es un conjunto de infinitas combinaciones con finitas cantidad de números primos proveniente de un numero primo. por lo que se demuestra que los numero primos tienden a ser infinitos.



