[스터디] 10주차 내용
Cochrane Module 10
1 . Three facts
(1) Returns are predictable (long-horizon returns are much more predictable)
(2) Dividends are not predictable (If the expected returns are constant, dividends should be forecastable)
(3) Prices seem awfully volatile
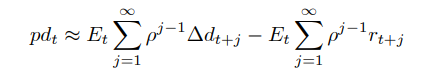
2. Put three facts together we have "Linearized Present Value identity / Vector Autoregression"
- Linearized present value identity
It comes from the definition of return and dividend.
run regression on return and dividend
Now extend this to multi-period level, one have "Campbell-Shiller present value formula" useful ref
It gives long-run returns and can analyze Volatility.
c.f) Fama/Shiller deabtae on bubble
- Vector autoregression
iterate
Volatility decomposition on VAR
3 Impulse-Response function
There are only two shocks really. (delta d) and (delta p). Do data analysis
[What is the meaning of these graphs?]
- relation to the random walk?
10주차 내용은 뭐랄까 자료 분석이 많이 나와서 그런지 역시 이해하기가 많이 힘들었다. 뭔가 practical 한 내용들을 다루는 것 처럼 이야기를 해 주는데 이게 어떤 의미인지 애들이랑 여러 이야기를 해 봐야 될 것 같다. 이번주는 dividends [엄밀히 말하면 dividends growth]에 대해 다루었는데 이 부분은 사실 나는 별로 관심이 없어서 그저 그렇다. 일단 하나 확실한 것은 Return 의 함수 형태에 따라 여러가지 계산들을 해 볼 수 있다는 것인데 ㅋㅋㅋㅋ
전반적으로 계산은 생각보다 별거 없었지만 [notation 에 익숙하면] 의미 파악이 좀 까다로운듯 싶다. 다음 section 부터는 equity 란 것에 대해 배운다는데 이제 좀 더 formal 한 것들에 대해 다루는 걸까?







