Introducing Land Staking
They have a new update for all of you current and soon-to-be landowners, about the precious Land NFTs.
Many of you might be wondering about the utility of lands before the release of ManuFactory, Inc., the main game mode of ManuFactory, where you’ll be able to play on your lands to build up and automate your crypto factories, especially knowing that the PVP will be released before the main game mode.
They’re pleased to announce Land Staking, the first NFT staking utility inside ManuFactory’s ecosystem, and also the first utility that landowners will be able to benefit from. Once the feature is live on their website, landowners will be able to passively earn MNFT for staking their land temporarily.
How will Land Staking work?
• There will be a pool of MNFT rewards to be distributed passively among all the Stakers inside the pool.
• Landowners will be able to stake multiple lands inside the pool, and the total MNFT that they will earn will depend on what % of the pool they own. While there are limits of 3 lands per wallet for playing in the game, and 2 wallets per IP, there are no limits for lands inside the Land Staking pool. This means if you want to own more than 3 lands in one wallet, or more than 2 wallets inside the same IP, you will be safe from bans.
• The MNFT in the pool will come from the players’ rewards pool, which will be refilled thanks to taxes on marketplace transactions among other economic measures that have been discussed previously in the Tokenomics, and will continue to be published in their dev journals and whitepaper updates.
• Once the PVP is launched, the rewards for Land Staking will be including a small % of the MNFT handed out to winners of PVP matches.
• This means that the more PVP rounds are being played, the more profitable it will be to participate in Land Staking,
• This also means that the less people participating in Land Staking, the more profitable it will be for those who stay within the pool. This is specially meant to benefit all those who have already bought lands and who will buy land in the public land sales, who will all be the first to benefit from Land Staking.
When and where will Land Staking be available?
Land Staking will be released on their webpage, shortly before the marketplace, with an exact date to be announced soon.
How long will Land Staking be available?
Version 1.0 of Land Staking will last 180 days, but it is a utility that will stay even once the main ManuFactory game mode is released, allowing landowners to decide whether they want to play on their lands, lease their lands, or stake their lands to earn passively. While they approach the end of Land Staking v1.0, they will be giving timely updates to let the community know about changes for upcoming versions before they launch.
What is the estimated APR% for Land Staking?
The APR will mostly depend on how many lands enter the Land Staking pool, how much it cost you to acquire your land, and which type of land you received.
At the very beginning, at the first moment the pool is opened, it will show an APR% of 15000%, and it will lower as more users enter the pool. Given the number of lands that have been sold at the time of writing, they estimate that:
• In the initial days, it is quite likely the pool will maintain upwards of 100% APR until more users come in.
• When the Land Staking reaches maturity and most users have entered, the first group of Land Stakers will be able to enjoy a stable APR% between 25%-60% depending on how many lands are in the pool and which type of land a user owns, with most users probably falling above 35%.
• These estimates are assuming that a user bought their lands valued at $350 USD in one of the Public Land Sales (average price nearing 9000 MNFT).
*APR = Annual Percentage Rate
Is there a difference in rewards for lands bought in the Private Land Sale vs lands bought in the Public Land Sales?
Regardless of how they were acquired, either in Private or Public Land Sales, all lands are worth the same rewards in Land Staking. The APR% calculation will vary slightly between each user, as it depends on how much they had to pay for their land, in $MNFT value. At Land Staking’s release or shortly after, they will include a simple calculator to determine your own personal APR% at any given moment.
How will the type of land influence the profitability in Land Staking?
The amount of rewards you will get depends on the percentage of ownership of points inside the Land Staking Pool. Each type of land will be valued as the following table in terms of points:
For example, let’s say there are 200 lands inside the Land Staking Pool, and the total points inside the pool is 20 thousand. If you own an Ashen Land (Regular) inside the pool, you will have an ownership of 100 points out of 20 thousand, which means you will own 0.5% of the pool with just that one land. If you own several lands, you will own a greater percentage of the pool, because their points will be summed.
How long will the lockup period be for unstaking the Lands?
After staking your land, there will be a lockup period where you have to wait before being able to unstake your Land. The default (and minimum) lockup period will be 30 days, with options to stake for 60 or 90 days as well, awarding the following bonuses:
This is a common measure for cryptocurrency and NFT staking, and is meant to incentivize landowners to use their asset’s utilities and improve the health of the marketplace. Remember, the less people inside the Land Staking pool, the more profitable it will be for its participants! Also note that after your lockup period has passed, you will have to restake your lands if you wish to continue using the Land Staking feature!
How often will tokens be claimable?
Tokens will be claimable every 15 days at minimum. This means after the first 15 days have passed, you can claim tokens anytime. After each claim, you will have to wait 15 days again, and the cycle repeats. On days when you cannot claim, you can still enter to see the distribution of MNFT to your account, which will happen every 24 hours.

Notice: This is all the key information you should know to understand the Land Staking utility. If you want more detailed mathematical explanations and formulas for APR%, keep reading! Otherwise, thank you for reading up until here!
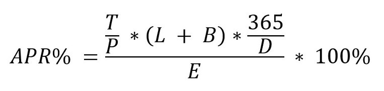
What is the formula for MNFT Staking?
On a given day:
Where:
• APR% = Annual Percentage Rate
• T = Total MNFT in the Land Staking Pool. For v1.0 this will be 1.35 million MNFT
• P = Total Points in the Land Staking Pool. This will vary based on the amount of lands in the pool, but they expect the initial cohort will be around 600–900 lands based on current land sales and the adoption levels of MNFT staking
• L = Points for the specific type of Land of the user (100, 110, …, 150), as seen on a table above
• B = Optional Bonus points depending on the selected lockup period (0, 10, or 20 extra points)
• D = Total Duration (in Days) of the Land Staking v1.0 = 180 days
• E = User Expenditure on land, expressed in $MNFT. This is approximate to 9000 for users who bought their lands for a $350 value in the 1st Public Land Sale, and between 5000 and 6000 MNFT for users who bought their lands for a $55-$65 donation + $170 value in the Private Land Sale.
Step by step explanations:
• (T / P) = Total MNFT in the Pool to be distributed per Point in the pool
• (L + B) = Points of the user, determined by their type of land(s) and optional bonuses
• (365 / D) = (365 / 180) = Conversion factor to yearly rate from baseline 180 days rate
• (T / P) * (L + B) = Total MNFT the user would receive for 180 days in the Land Staking, ceteris paribus (everything else unchanged)
• (T / P) * (L + B) * (365 / D) = Total MNFT the user would earn in a year for Land Staking, ceteris paribus (everything else unchanged)
• (T / P) * (L + B) * (365 / D) / E = Annual Rate on the user’s investment (Expenditure)
• (T / P) * (L + B) * (365 / D) / E * 100% = Annual Percentage Rate on the user’s investment (Expenditure)
What are some realistic example scenarios for APR% of Land Staking?
Scenario A: 800 Lands in Pool
User A has a Fallen Land (Regular) (110 points)
User A chooses Lockup Period of 60 Days (+10 points)
User A bought their land in the Public Land Sale for 9000 MNFT
(See formula above)
• T = 1,350,000 MNFT (constant)
• P = 90000 points
• L = 110 points
• B = 10 points
• D = 180 days (constant)
• E = 9000 MNFT
• APR% = 40.56%
Scenario B: 900 Lands in Pool
User B has an Ashen Land (Regular) (100 points)
User B chooses Lockup Period of 30 Days (+0 points)
User B bought their land in the Private Land Sale for a combined donation + investment amount equal to a current value of 5800 MNFT
(See formula above)
• T = 1,350,000 MNFT (constant)
• P = 105000 points
• L = 100 points
• B = 0 points
• D = 180 days (constant)
• E = 5800 MNFT
• APR% = 44.95%
Scenario C: 600 Lands in Pool
User C has an Ashen Land (Uranium) (130 points)
User C chooses Lockup Period of 90 Days (+20 points)
User C bought their land in the Public Land Sale for 9100 MNFT
(See formula above)
• T = 1,350,000 MNFT (constant)
• P = 68000 points
• L = 130 points
• B = 20 points
• D = 180 days (constant)
• E = 9100 MNFT
• APR% = 66.36%
Scenario D: 1200 Lands in Pool
User D has a Harvest Enterprise Land (Regular) (120 points)
User D chooses Lockup Period of 60 Days (+10 points)
User D bought their land in the Private Land Sale for combined donation + investment amount equal to a current value of 5500 MNFT
(See formula above)
• T = 1,350,000 MNFT (constant)
• P = 135000 points
• L = 120 points
• B = 10 points
• D = 180 days (constant)
• E = 5500 MNFT
• APR% = 47.93%
Scenario E: 750 Lands in Pool
User E has an Ashen Land (Regular) (100 points) and a Fallen Land (Uranium) (140 points)
User E chooses Lockup Periods of 90 Days (+20 points) for Land 1 and 60 Days for Land 2 (+10 points)
User E bought their land 1 in the Private Land Sale for a combined donation + investment amount equal to a current value of 5600 MNFT, and their land 2 in the Public Land Sale for 9000 MNFT
(See formula above)
• T = 1,350,000 MNFT (constant)
• P = 83500 points
• L = 100 + 140 = 240 points
• B = 20 + 10 = 30 points
• D = 180 days (constant)
• E = 5600 + 9000 = 14600 MNFT
• APR% = 60.63%
ManuFactory Official Social Media
Discord |Twitter | Telegram | Telegram ESP | Web | Instagram




Your post was upvoted and resteemed on @crypto.defrag
Let me check!
I can’t ignore this project
Oh yes! Let’s go!
Time to make some 💰💰