달러의 위기-자본주의는 붕괴될 것인가-자본주의 매커니즘 3부-자본론
자본주의 시스템의 전체적인 맥락을 먼저 살펴보면,
이윤 추구 -> 자본의 유기적 구성 증가 -> 잉여가치의 원천인 노동 채용 감소로 잉여가치 하락 ->이윤율 하락 -> 자본주의 붕괴
이렇게 필연적으로 흘러가며 자본주의의 생애주기는 구동동력인 이윤율이 감소함에 따라 결국 붕괴함으로서 완성된다. 그럼 이윤율이 실제로 감소하고 있을까?

분명한 것은 자본주의 마감시간은 언제 일지는 모르지만 반드시 찾아온다는 것이다.
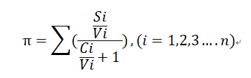
이렇게 자본주의의 붕괴는 필연적이며 본질적으로 붕괴될 수 밖에 없는 속성은 어디에서 오는 것일까? 마르크스는 이에대해 죽은노동(생산시설)이 산노동(노동자)를 대체하기때문이라고 말한다. 자본주의 시스템의 목적이 인간을 향하는 것이 아니라 돈을 향하고 있기 때문이며 인간을 위해, 인간으로 인해 존재하는 이데올로기가 인간위에 군림하여 시스템 생존의 연료로 인간을 사용하고 결국 다 타버린 인간으로 인해 원료를 모두 소진한 자본주의 시스템은 붕괴되고 만다는 것이다. 이런 흐름을 자세하게 살펴보기 위해 전편에서 보았던 공식을 다시 보면서 얘기하자.
1. 이윤 획득 추구 : 이윤은 가변자본, 즉 노동자의 노동에서 발생하는 부불부분(임금지급 이상의 가치창출분)의 다른 이름에 불과하며 다만 투입되는 전체 자본과의 관계에서 바라본 것에 불과하다. 따라서 이윤량은 부불부분의 양과 노동자의 수를 곱한것이 총량이 된다. 자본가의 이윤 추구 행위는 다음과 같은 현상으로 나타난다.
- 노동시간 증가, 노동자의 수 감소
- 생산시설의 추가 채용으로 노동 생산성 증대
2. 자본의 유기적 구성비율의 증가 : 자본의 유기적 구성비율은 불변자본/가변자본으로 구성되며 노동생산성 증대를 위해 자본의 추가채용이 이루어짐에 따라 자본의 유기적 구성비율은 고도화 된다. 노동 생산성의 증대는 상품가격 하락, 생산량 증대로 이어지고 각 개별 상품에 내포된 잉여가치는 자본의 집적에 따라 감소하지만 생산량 증대를 통해 총 잉여가치는 증대된다.
3. 잉여가치 감소 : 자본의 유기적 구성비율이 고도화됨에따라 잉여가치의 원천인 노동이 감소하게 된다. 앞서 살펴보았던 노동 생산성 증대에 따라 잉여가치가 증대되나, 어느 특정시점에 도달하면 자본의 유기적 구성비율의 증가로 인해 소외된 노동자의 소비여력 상실분이 노동생산성 증대로 절감된 상품구입능력 증대분을 초과하면 잉여가치가 하락하게 된다.
4. 이윤율 저하 : 잉여가치의 감소로 이윤율이 저하된다.
5. 자본주의 붕괴 : 이윤율 저하에 따라 자본주의 구동 에너지 역시 감소하게 된다.
