달러의 위기-자본주의는 붕괴될 것인가-자본주의 매커니즘 2부-자본론
마르크스의 자본론은 1500권이 넘는 참고문헌에 2500페이지에 달하는 인용문을 담고 있는 방대한 저술이다. 1867년에 1권 정치경제학 비판이 함부르크에서 출간되고, 마르크스 사후 엥겔스가 2권 사회주의 비판, 3권 경제학의 역사를 출간했다. 자본론은 자본주의가 어떤 원리로 구동이 되는가를 추상적 영역에서 구체적 영역으로, 거시적 영역에서 미시적 영역으로 시선을 옮겨가면서 저술된 책이다. 자본론에 담겨져 있는 마르크스의 생각은 하나하나가 실로 논쟁거리여서 정확한 방향을 잡고 내용을 한정하지 않으면, 단 하나의 특정한 주제라도, 이해를 돕거나 오역의 소지를 차단하기위해 포괄적으로 접근하길 시도하는 순간 내용이 끝없이 이어지게 된다. 따라서 자본론의 방대한 내용중 자본주의 운동메커니즘에 대해서만 살펴보겠다.
마르크스는 자본주의시스템에 대해
"자본주의적 생산양식이 발전해나감에 따라 사회적 노동생산력의 발전은 한편으로는 이윤율의 지속적인 저하 경향으로, 다른 한편으로는 획득되는이윤의 절대량의증가로 나타난다"
고 했다. 도통 무슨 소리인지 모르겠다. 한번 풀어 써보자. 자본주의에서 특징되는 생산시스템은 시간이 점점 지남에따라 발전하게 되는데, 이 발전으로 인해 얻게되는 이윤량은 점점 증가하지만 생산에 드는 총비용 대비 이윤의 비율은 점점 줄어든다는 것이다. 사실 마르크스의 이러한 이윤율 저하 경향은 데이비드 리카도(David Ricardo, 1772~1823년)의 이윤율 저하의 법칙에서 비롯된다. 다시말해, 마르크스의 '자본주의 이윤율 저하의 경향'은 이러한 데이비드 리카도의 이윤율 저하의 법칙을 잉여가치와 연관지어 탄생한 것이다.
데이비드 리카도는 1772년 영국 런던에서 태어났다. 그 유명한 세파르딤 유대인으로 후에 기독교인 여성과 결혼하면서 유대교와 결별하게된다. 그는 대학을 다니지 않았음에도 불구하고 아담 스미스의 고전학파 경제학을 완성한 인물로 유명하다. 그의 명저인 '정치경제학과 조세의 원리'에서 지대발생의 원리를 설명하면서 장기적으로 지대는 자본가의 이윤율 저하시킨다고 하였다. 쉽게 이를 설명해보면 다음과 같다.
어느 조그마한 나라에 사람들이 살고 있는데 이 사람들이 생존하기 위해 필요한 곡식이 있을 것이다. 이러한 곡식을 생산하기 위해 국민들은 나라에서 가장 비옥한 토지를 경작할 것이다. 당연하지 않은가. 척박한 토지에서 곡식을 생산하면 힘은 힘대로 시간은 시간대로 허비되고 맛도 없으니 말이다. 이렇게 사이좋게 비옥한 토지를 경작하며 살던 국민들은 날로 인구가 증가했다. 그래서 기존의 비옥한 토지에서 경작한 곡식만으로는 국민 모두가 먹기에 부족해졌다. 예를 들어 생산되는 곡식의 가격이 100원이라고 가정해보자. 더 이상 100원어치 생산으로는 국민들 모두를 먹일 수 없어, 좀 덜 비옥한 토지를 경작하게 된다. 이렇게 좀 덜 비옥한 토지는 가장 비옥한 토지를 경작했을때와 비교했을때 생산의 고통이 더 클 것이다. 잡초도 뽑고 흙에 박힌 돌멩이도 솎아내고, 비료도 더 줘야하니 말이다. 이렇게 덜 비옥한 토지에서 생산하였을 때 생산비가 110원으로 일정정도 증가하게 되었다. 사람들은 생존에 필요한 곡식을 구매하기 위해 110원을 기꺼이 지불한다. 비옥한 토지에서 생산되는 곡식인지 일일히 물어 100원에 사는것이 아니라 덜 비옥한 토지에서의 생산비인 110원으로 시장가격이 형성되는 것이다. 이렇게 형성된 시장가격을통해 가장 비옥한 토지에서 곡물을 생산한 생산자는 시장가격과 생산비의 차이(110원-100원)인 10원을 이윤(지대)으로 획득하게 된다. 이렇게 점점 인구가 증가하게되자 점점 비옥도가 떨어지는 토지를 경작하게된 국가는 가장 척박한 토지까지 곡물 생산에 동원한다. 이때 가장 척박한 토지(한계지)의 생산비가 200원이라고 하면 곡물의 시장가격은 200원으로 형성되고 이윤은 100원으로 결정된다. 이러한 맥락으로 볼때 시장가격은 가장척박한 토지에서의 생산비가 되고 이윤은 시장가격과 생산비의 차이로 나타난다. 즉 1차적으로 생산비에 의한 시장가격이 형성되고 이윤의 파생되는 것이다. 이와 같은 구조를 자본주의 시장에서 살펴보면 곡물을 생산하는 자본가의 입장에서는 곡물가격과 생산비의 차이인 이윤의 한계내에서 토지를 임차하거나 구매하게된다. 가장 비옥한 토지로 예를들면 가장 비옥한 토지에서 발생하는 이윤인 100원이 넘지 않는선에서 해당 토지를 구매하거나 임대할려고 할 것이다. 토지의 사용 및 소유에 대한 대가가 설령 높더라도 해당 토지를 경작함에 따라 이윤을 얻을 수 있기 때문이다. 이런식으로 비옥도에 따라 다양한 이윤이 발생하며 이러한 이윤은 종국에는 자본가의 생산비를 구성하게되므로 장기적으로 이윤은 '0'으로 수렴하게 된다.
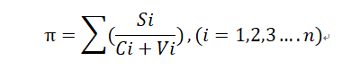
마르크스는 리카도의 이윤율 저하의 법칙과 잉여가치를 결합하여 이윤율의 경향적 저하법칙(law of the tendential fall in the rate of profit)을 만들게 된다. 먼저 아래의 공식을 보자.
여기서 Ci는 불변자본, Vi는 가변자본, Si는 잉여가치, π 는 이윤율을 뜻한다. 여기에 각 항을 가변자본인 Vi로 나눠보면
로 나타낼 수 있다. 마르크스는 여기서 Si와 Vi의 비율을 '잉여가치율', Ci와 Vi간의 비율을 '자본의 유기적 구성'이라고 하였다.
자 하나씩 뜯어보자.
먼저 가변자본(Vi)과 불변자본(Ci)은 생산에 있어 그 가치가 변화는지에 따라 구분된다. 불변자본의 경우 기계, 기구따위의 생산시설은 생산과정에서 그들이 가진 가치총체의 일부를 이전하여 새로운 상품의 가치 일부를 구성하고, 원재료의 경우 1회의 생산으로 자신이 가진 모든 가치총체를 생산품에 이전시키는 특징을 가진다. 생산과정에서 1회에 한하든 여러번을 거치든 가치를 단순히 이전시키는데 불과한것이지 새롭게 창출되거나 소모되지 않는 자본을 말한다. 기계, 기구 따위의 생산시설에서 발생한 가치이전을 회계상 감가상각이라고 한다. 반면에 가변자본은 노동을 뜻하게 되는데 마르크스는 자본가가 노동자를 고용해 지급한 임금(지불부분)보다 노동자가 더 많은 가치를 창출(부불부분:노동자의 총 창출가치-지불부분)하고 이 과정에서 자본총량이 변화되므로 이를 가변자본이라고 한다.
잉여가치는 생산에 투하된 자본대비 증가된 수확분을 의미하며 일반적으로 이윤이라고 부른다. 생산과정에서 원재료, 생산시설, 노동력이 결합해 새로운 제품을 생산하게 되는데 , 상기에서 살펴본 바와같이 원재료, 생산시설은 가치가 불변이므로 결국 가치가 증식된 부분은 노동자의 노동에서 비롯됐다는것이 마르크스의 견해이다. 즉 마르크스의 견해에 따르면 자본가, 기업이 축척한 이윤은 모두 노동자의 고혈을 짜내 만든 것이라는 얘기가 된다. 물론 생산과정에서의 노동, 자본, 원료등이 중요한 것임에는 틀림없지만 상품의 가치가 너무 생산과정에서 필요한 제요소(자본, 노동, 원재료)에만 치우쳐져있 다는 것이 아쉽다. 동일한 상품이라도 그것을 소비하는 소비자의 상태에 따라 분명히 다른 만족감을 가질테니 말이다. 할 말은 많지만 갈길이 멀기때문에 정의는 여기까지 설명하겠다.
1. 자본가는 이윤획득을 목적으로 사업을 영위하게 되는데, 이러한 이윤획득이 이윤율을 떨어뜨리는 작용을 동시에 하게 된다고 한다. 다르게 표현하면
2. 자꾸만 떨어지는 이윤율을 방어하기 위해 이윤량을 늘릴 동기를 가진다는 것이다.
봉구비어를 예로들면, 김봉구라는 사람이 봉구비어를 창업하여 돈을 많이 벌고 있었다. 스몰비어 컨셉으로 시장에서 센세이션을 일으켜 대략 투하자본대비 50%에 가까운 이윤을 남긴다고 해보자. 일반적으로 호프집이 대략 10%이윤율이라고 하면 너도나도 봉구비어를 할려고 달려들 것이다. 여기저기 경쟁자가 생겨 창업자의 이윤이 점점 떨어지고 최종적으로 시장의 이윤율수준으로 하락하게 된다. 만약 종목을 변경하여 장사하는데 특별한 진입장벽이 없이 자본이동이 완전히 자유롭다면 이 자본은 모든 초과이윤이 발생하는 곳으로 달려가 평범한 수준으로 이윤율을 만들어버린다. 자 그러면 봉구비어의 창업자는 자신이 만든 창의적인 아이디어를 혼자 독식했어야 했는데 수많은 경재자들이 들어와 이들과 울며겨자먹기로 이익을 나누는 아픔을 겪어야 했다. 하지만 걱정마시라. 창업자는 창업당시 50% 이윤율에서 시장이자율 10%로 수렴할때까지의 초과이윤을 그나마 가지고 있었으니 말이다. 창업자는 수많은 경쟁자를 물리칠 수 없으니 차라리 이 돈으로 2호점을 열기로 한다. 박리다매로 가자는 것이다. 어차피 호주머니에 들어오는 돈이 많고 적음이 중요한 거지 투자금대비 수율은 애초부터 관심사가 아니다. 2호점에 따라 이윤은 배로 늘게된다. 창업자는 머리를 굴려 5호점까지 열면 창업당시 이윤율인 50%에 상당하는 이윤량을 획득할 것이라는 생각에 대출과, 각종 경로로 자금을 끌어오게 된다. 천신만고끝에 5호점까지 확장한 창업자는 들어오는 돈에 아연실색하게 된다. 시장이윤율인 10%보다 더 떨어져 5%로 곤두박칠 쳤기때문이다. 이를 조사해보니 경쟁자들도 창업자와 같은 생각으로 점포를 확장했던 것이다.



upvote for me please? https://steemit.com/news/@bible.com/6h36cq
When I grow up I want to be a helicopter