기여도 이벤트 1133차 결과 발표
기여도 이벤트 1133차 결과 발표입니다.
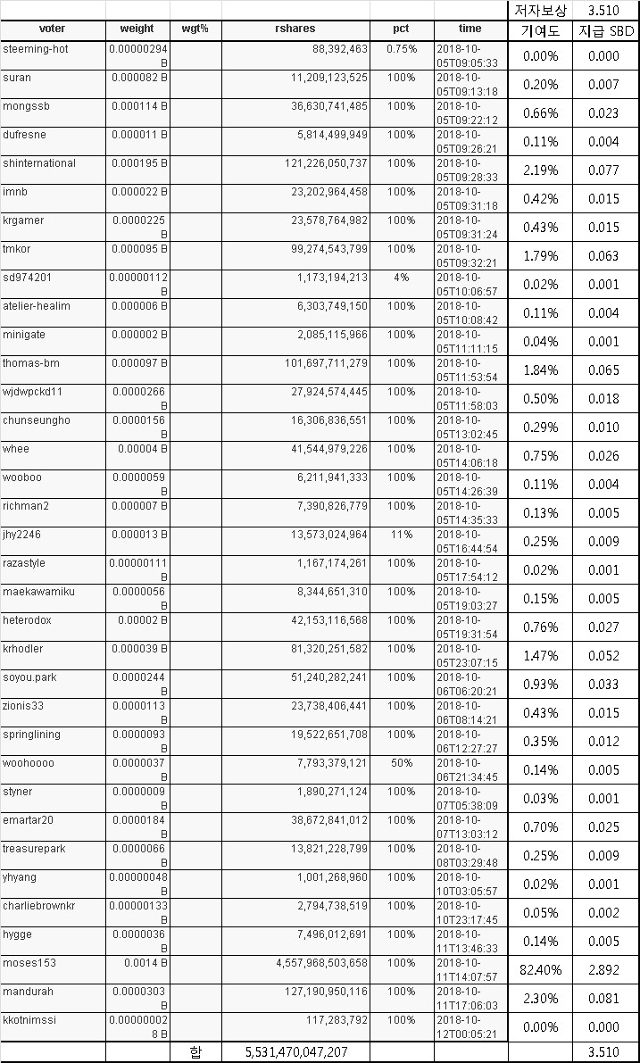
하드포크 이후 스달 발행이 다시 시작되었습니다.
저자보상
기여도 이벤트 1133차 링크 - https://steemit.com/kr/@shinternational/1133-100
steemd 사이트에서 rshares 확인
링크 - https://steemd.com/kr/@shinternational/1133-100
기여도 대비 저자보상 지급
송금 내역
보팅 한 만큼 돌려드리는 이벤트 :
보팅기여도 1142차 - 10월14일 오전9시00분
https://steemit.com/kr/@shinternational/1142-100
보팅기여도 1143차 - 10월14일 오후12시00분
https://steemit.com/kr/@shinternational/1143-100
보팅기여도 1144차 - 10월14일 오후3시00분
https://steemit.com/kr/@shinternational/1144-100
보팅기여도 1145차 - 10월14일 오후6시00분
https://steemit.com/kr/@shinternational/1145-100
보팅기여도 1146차 - 10월14일 오후9시00분
https://steemit.com/kr/@shinternational/1146-100
보팅기여도 1147차 - 10월14일 오후11시30분
https://steemit.com/kr/@shinternational/1147-100
보팅기여도 1148차 - 10월15일 오전9시00분
https://steemit.com/kr/@shinternational/1148-100
보팅기여도 1149차 - 10월15일 오후12시00분
https://steemit.com/kr/@shinternational/1149-100
보팅기여도 1150차 - 10월15일 오후3시00분
https://steemit.com/kr/@shinternational/1150-100
보팅기여도 1151차 - 10월15일 오후6시00분
https://steemit.com/kr/@shinternational/1151-100
보팅기여도 1152차 - 10월15일 오후9시00분
https://steemit.com/kr/@shinternational/1152-100
보팅기여도 1153차 - 10월15일 오후11시30분
https://steemit.com/kr/@shinternational/1153-100
보팅기여도 1154차 - 10월16일 오전6시00분
https://steemit.com/kr/@shinternational/1154-100
보팅기여도 1155차 - 10월16일 오전9시00분
https://steemit.com/kr/@shinternational/1155-100
보팅기여도 1156차 - 10월16일 오후12시00분
https://steemit.com/kr/@shinternational/1156-100
보팅기여도 1157차 - 10월16일 오후3시00분
https://steemit.com/kr/@shinternational/1157-100
보팅기여도 1158차 - 10월16일 오후6시00분
https://steemit.com/kr/@shinternational/1158-100
보팅기여도 1159차 - 10월16일 오후9시00분
https://steemit.com/kr/@shinternational/1159-100
보팅기여도 1160차 - 10월16일 오후11시30분
https://steemit.com/kr/@shinternational/1160-100
보팅기여도 1161차 - 10월17일 오전6시00분
https://steemit.com/kr/@shinternational/1161-100
보팅기여도 1162차 - 10월17일 오전9시00분
https://steemit.com/kr/@shinternational/1162-100
보팅기여도 1163차 - 10월17일 오후12시00분
https://steemit.com/kr/@shinternational/1163-100
보팅기여도 1164차 - 10월17일 오후3시00분
https://steemit.com/kr/@shinternational/1164-100
보팅기여도 1165차 - 10월17일 오후6시00분
https://steemit.com/kr/@shinternational/1165-100
보팅기여도 1166차 - 10월17일 오후9시00분
https://steemit.com/kr/@shinternational/1166-100
보팅기여도 1167차 - 10월17일 오후11시30분
https://steemit.com/kr/@shinternational/1167-100
보팅기여도 1168차 - 10월18일 오전6시00분
https://steemit.com/kr/@shinternational/1168-100
보팅기여도 1169차 - 10월18일 오전9시00분
https://steemit.com/kr/@shinternational/1169-100
보팅기여도 1170차 - 10월18일 오후12시00분
https://steemit.com/kr/@shinternational/1170-100
보팅기여도 1171차 - 10월18일 오후3시00분
https://steemit.com/kr/@shinternational/1171-100
보팅기여도 1172차 - 10월18일 오후6시00분
https://steemit.com/kr/@shinternational/1172-100
보팅기여도 1173차 - 10월18일 오후9시00분
https://steemit.com/kr/@shinternational/1173-100
보팅기여도 1174차 - 10월18일 오후11시30분
https://steemit.com/kr/@shinternational/1174-100
보팅기여도 1175차 - 10월19일 오전6시00분
https://steemit.com/kr/@shinternational/1175-100
보팅기여도 1176차 - 10월19일 오전9시00분
https://steemit.com/kr/@shinternational/1176-100
보팅기여도 1177차 - 10월19일 오후12시00분
https://steemit.com/kr/@shinternational/1177-100
보팅기여도 1178차 - 10월19일 오후3시00분
https://steemit.com/kr/@shinternational/1178-100
보팅기여도 1179차 - 10월19일 오후6시00분
https://steemit.com/kr/@shinternational/1179-100




