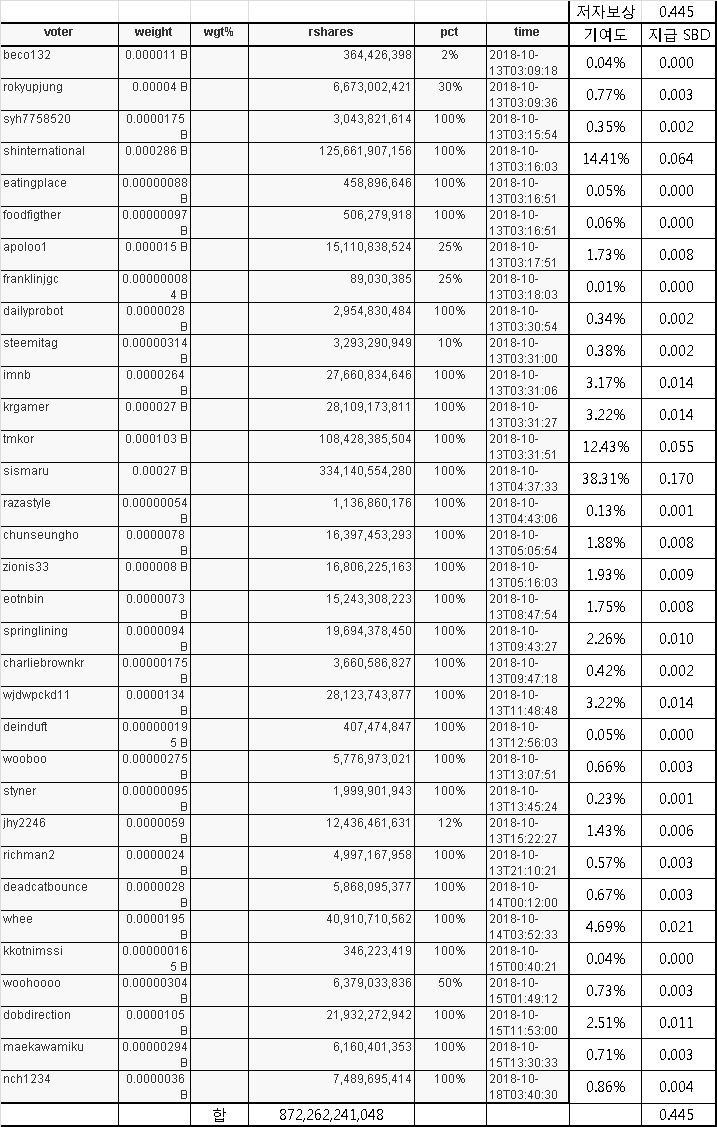
기여도 이벤트 1184차 결과 발표
기여도 이벤트 1184차 결과 발표입니다.
하드포크 이후 스달 발행이 다시 시작되었습니다.
저자보상
기여도 이벤트 1184차 링크 - https://steemit.com/kr/@shinternational/1184-100
steemd 사이트에서 rshares 확인
링크 - https://steemd.com/kr/@shinternational/1184-100
기여도 대비 저자보상 지급
송금 내역
보팅 한 만큼 돌려드리는 이벤트 :
보팅기여도 1196차 - 10월22일 오전6시00분
https://steemit.com/kr/@shinternational/1196-100
보팅기여도 1197차 - 10월22일 오전9시00분
https://steemit.com/kr/@shinternational/1197-100
보팅기여도 1198차 - 10월22일 오후12시00분
https://steemit.com/kr/@shinternational/1198-100
보팅기여도 1199차 - 10월22일 오후3시00분
https://steemit.com/kr/@shinternational/1199-100
보팅기여도 1200차 - 10월22일 오후6시00분
https://steemit.com/kr/@shinternational/1200-100
보팅기여도 1201차 - 10월22일 오후9시00분
https://steemit.com/kr/@shinternational/1201-100
보팅기여도 1202차 - 10월22일 오후11시30분
https://steemit.com/kr/@shinternational/1202-100
보팅기여도 1203차 - 10월23일 오전6시00분
https://steemit.com/kr/@shinternational/1203-100
보팅기여도 1204차 - 10월23일 오전9시00분
https://steemit.com/kr/@shinternational/1204-100
보팅기여도 1205차 - 10월23일 오후12시00분
https://steemit.com/kr/@shinternational/1205-100
보팅기여도 1206차 - 10월23일 오후3시00분
https://steemit.com/kr/@shinternational/1206-100
보팅기여도 1207차 - 10월23일 오후6시00분
https://steemit.com/kr/@shinternational/1207-100
보팅기여도 1208차 - 10월23일 오후9시00분
https://steemit.com/kr/@shinternational/1208-100
보팅기여도 1209차 - 10월23일 오후11시30분
https://steemit.com/kr/@shinternational/1209-100
보팅기여도 1210차 - 10월24일 오전6시00분
https://steemit.com/kr/@shinternational/1210-100
보팅기여도 1211차 - 10월24일 오전9시00분
https://steemit.com/kr/@shinternational/1211-100
보팅기여도 1212차 - 10월24일 오후12시00분
https://steemit.com/kr/@shinternational/1212-100
보팅기여도 1213차 - 10월24일 오후3시00분
https://steemit.com/kr/@shinternational/1213-100
보팅기여도 1214차 - 10월24일 오후6시00분
https://steemit.com/kr/@shinternational/1214-100
보팅기여도 1215차 - 10월24일 오후9시00분
https://steemit.com/kr/@shinternational/1215-100
보팅기여도 1216차 - 10월24일 오후11시30분
https://steemit.com/kr/@shinternational/1216-100
보팅기여도 1217차 - 10월25일 오전6시00분
https://steemit.com/kr/@shinternational/1217-100
보팅기여도 1218차 - 10월25일 오전9시00분
https://steemit.com/kr/@shinternational/1218-100
보팅기여도 1219차 - 10월25일 오후12시00분
https://steemit.com/kr/@shinternational/1219-100
보팅기여도 1220차 - 10월25일 오후3시00분
https://steemit.com/kr/@shinternational/1220-100
보팅기여도 1221차 - 10월25일 오후6시00분
https://steemit.com/kr/@shinternational/1221-100
보팅기여도 1222차 - 10월25일 오후9시00분
https://steemit.com/kr/@shinternational/1222-100
보팅기여도 1223차 - 10월25일 오후11시30분
https://steemit.com/kr/@shinternational/1223-100
보팅기여도 1224차 - 10월26일 오전6시00분
https://steemit.com/kr/@shinternational/1224-100
보팅기여도 1225차 - 10월26일 오전9시00분
https://steemit.com/kr/@shinternational/1225-100
보팅기여도 1226차 - 10월26일 오후12시00분
https://steemit.com/kr/@shinternational/1226-100
보팅기여도 1227차 - 10월26일 오후3시00분
https://steemit.com/kr/@shinternational/1227-100
보팅기여도 1228차 - 10월26일 오후6시00분
https://steemit.com/kr/@shinternational/1228-100
보팅기여도 1229차 - 10월26일 오후9시00분
https://steemit.com/kr/@shinternational/1229-100
보팅기여도 1230차 - 10월26일 오후11시30분
https://steemit.com/kr/@shinternational/1230-100
보팅기여도 1231차 - 10월27일 오전6시00분
https://steemit.com/kr/@shinternational/1231-100
보팅기여도 1232차 - 10월27일 오전9시00분
https://steemit.com/kr/@shinternational/1232-100
보팅기여도 1233차 - 10월27일 오후12시00분
https://steemit.com/kr/@shinternational/1233-100




