Graph rewrite examples, generated by Soffit
I started at doc/examples directory for the soffit project, and
my first two examples are there. Unfortunately, only one of them looks any good.
The way I finally convinced graphviz to lay things out the way I wanted is pretty gross. First, lay out each graph individually, and then copy the position from the Agraph object that does this back to the original networkx graph:
def position( graph ):
"""Render a graph with 'neato', and return its bounding box."""
agraph = to_agraph( graph )
agraph.layout( prog='neato' )
for n in graph.nodes:
graph.nodes[ n ]['pos'] = agraph.get_node( n ).attr['pos']
for (s,t) in graph.edges:
graph.edges[s,t]['pos'] = agraph.get_edge( s, t ).attr['pos']
return [ float(i) for i in agraph.graph_attr['bb'].split( ',' ) ]
Call this for each graph to get its size:
(_, _, leftX, leftY) = position( l )
(_, _, gX, gY) = position( g )
# FIXME: initialize r with l's positions
(_, _, rightX, rightY) = position( r )
# FIXME: initialize h with g's positions
(_, _, hX, hY) = position( h )
Then rewrite the positions so that they're laid out in the format I want:
centerX = max( leftX, gX )
centerY = max( gY, hY )
# Lower left - Bring g up to the center line
reposition( g, centerY - gY, 0.0 )
# Lower right
reposition( h, centerY - hY, centerX + 10 )
# Upper left
reposition( l, centerY + 10, 0.0 )
# Upper right
reposition( r, centerY + 10, centerX + 10 )
Here's the code that unpacks and repacks the strings to do the offset:
def reposition_pos( pos, yOffset, xOffset ):\
return " ".join(
",".join( [ str( float( y ) + yOffset ),
str( float( x ) + xOffset ) ] )
for coord in pos.split( " " )
for (y,x) in [ coord.split( "," ) ]
)
def reposition( graph, xOffset, yOffset ):
"""Update all pos attributes to a different location."""
for n in graph.nodes:
graph.nodes[ n ]['pos'] = reposition_pos( graph.nodes[n]['pos'],
yOffset, xOffset )
for (s,t) in graph.edges:
graph.edges[s,t]['pos'] = reposition_pos( graph.edges[s,t]['pos'],
yOffset, xOffset )
Finally, put all the graphs back together into a single graph, and plot that:
collection = nx.disjoint_union( l, r )
collection = nx.disjoint_union( collection, g )
collection = nx.disjoint_union( collection, h )
agraph = to_agraph( collection )
agraph.draw( outputFile, prog="neato", args="-n" )
I omitted the steps to color and label the graph, which is just a matter of adding attributes.
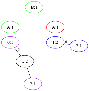
Here is reproduces the example in "Pushouts on Labeled Graphs", though Soffit does not permit multiple edges between nodes:
As seems standard with graphviz, edge label placement is awful.

Hello! Your post has been resteemed and upvoted by @ilovecoding because we love coding! Keep up good work! Consider upvoting this comment to support the @ilovecoding and increase your future rewards! ^_^ Steem On!

Reply !stop to disable the comment. Thanks!
Also, this display doesn't show the difference between merging A and B and just deleting B.