Easy method to derive binomial expansion formula
You should have been wondering that binomial expansion formula was just written in most of the textbooks without proving it. So in this tutorial, I will explain how the formula was derived.
Now, let's start the tutorial.
There are many methods to prove it but I will consider using a simple method which will be well explanatory for those with little knowledge of mathematics.
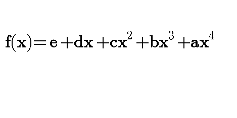
By considering this below equation,

The first thing to do is differentiating it, is it strange? calm down, let me explain how to differentiate first, we just need basic knowledge..

I believed you've known how to differentiate now.
Let's proceed,

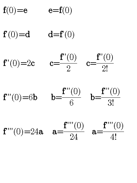
Putting x=0 in equation 1 to 5.

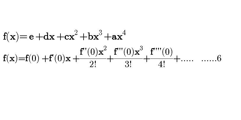
Equation 1 can be rewritten as,

Substituting a, b, c, d and e values in eq1

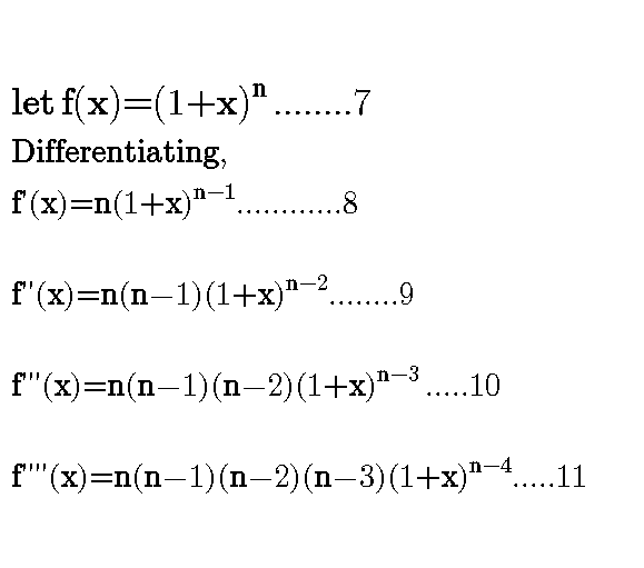
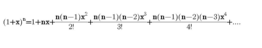
Now, let's derive an expression for binomial expansion.

Putting x=0 in eq 7 to 11
.png)
Lastly, substitute f'(0),f"(0),f'"(0) and f""(0) values in equation 6
Then we have,
You can see that the equation has been derived.
Reference
Quora-how to derive binomial expansion
This is lovely. It's just like proofing using Maclaurin's series. Nice work bro.. Keep it up
Yea bro.. Thanks my math mate.
Your post has been upvoted by the @steemiansarena trail. Our goal is to support minnows and help them grow. You can join our discord server here Whastapp here.. You can also support us by either contributing steem or delegating SP to us
Congratulations! This post has been upvoted from the communal account, @minnowsupport, by Hayzeed from the Minnow Support Project. It's a witness project run by aggroed, ausbitbank, teamsteem, theprophet0, someguy123, neoxian, followbtcnews, and netuoso. The goal is to help Steemit grow by supporting Minnows. Please find us at the Peace, Abundance, and Liberty Network (PALnet) Discord Channel. It's a completely public and open space to all members of the Steemit community who voluntarily choose to be there.
If you would like to delegate to the Minnow Support Project you can do so by clicking on the following links: 50SP, 100SP, 250SP, 500SP, 1000SP, 5000SP.
Be sure to leave at least 50SP undelegated on your account.