Mathematics- Solution to Exercise on the previous tutorial
I posted a tutorial on COMBINATION some days ago
, so at the end of the tutorial I dropped some exercises which will be solved now, in case you missed the tutorial click here Mathematics tutorial on Combination
The questions go thus;
b. How many committees of five can be formed from 8 men and 4 women if each committee is to have at least 2 women?
Solution
a) We are to simplify here and that can be done using the combination formula.

Is it clear? now let's do the second question.
b. By reading the question, we are to select 5 committees from 8 men and 4 women. But it was stated that each committee must have at least 2 women
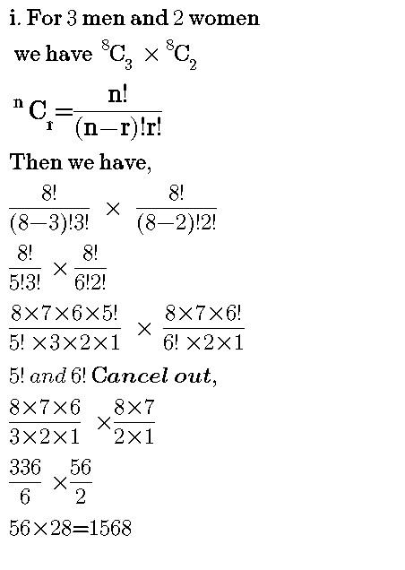
i) We can have 3 men and 2 women.
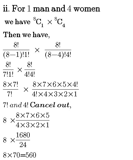
ii) We can have 1 man and 4 women.
Can you tell me the next arrangement?
Think!
iii) We can have 3 women and 2 men.
Do you also get that?
Okay, let's simplify i, ii and iii
So the numbers of ways to select five committees with at least two women are,
( 1568 + 560 +1568)ways which are 3696ways.
@hayzed... This is very impressive. I don't know I am also having Mathematics lover just like me. Keep it up bro. I never knew the -4!= -4 x - 5 x - 6....I was thinking - 4!=-3 x - 2 x - 1..... Thanks for this lovely post... I really appreciate this. Let's keep Mathematics boiling on Steemit. I am sure we will be noticed for our works one day. Have a nice day
Wow, nice, i don't know am not the only one writing on mathematics , are you from nigeria?
Yes boss 😀
I just check on your blog, you should be making use of Math editor to write equations. Though it is stressful, but it will makes your work neater.
That's what I made use of
Good. Let's keep the ball rolling.
Are you on discod or WhatsApp... I will like to know you more better
Sure.. 08122980420 on whatsapp.
I will message you bro
Congratulations! This post has been upvoted from the communal account, @minnowsupport, by Hayzeed from the Minnow Support Project. It's a witness project run by aggroed, ausbitbank, teamsteem, theprophet0, someguy123, neoxian, followbtcnews, and netuoso. The goal is to help Steemit grow by supporting Minnows. Please find us at the Peace, Abundance, and Liberty Network (PALnet) Discord Channel. It's a completely public and open space to all members of the Steemit community who voluntarily choose to be there.
If you would like to delegate to the Minnow Support Project you can do so by clicking on the following links: 50SP, 100SP, 250SP, 500SP, 1000SP, 5000SP.
Be sure to leave at least 50SP undelegated on your account.
Your post has been upvoted by the @steemiansarena trail. Our goal is to support minnows and help them grow. You can join our discord server here Whastapp here.. You can also support us by either contributing steem or delegating SP to us