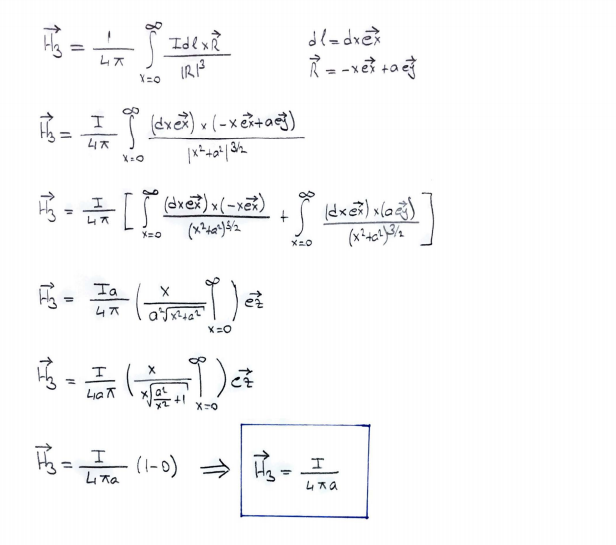
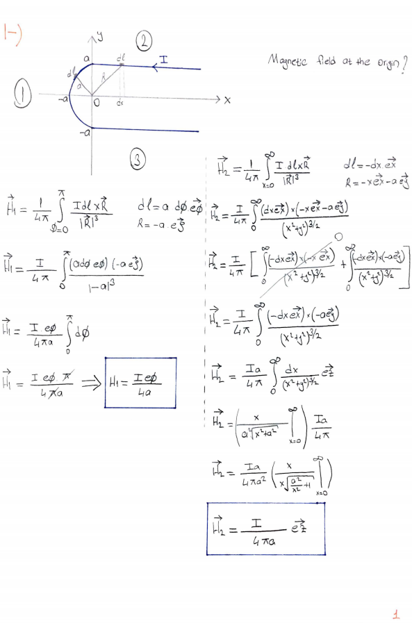
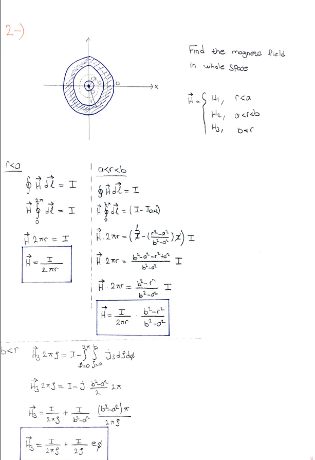
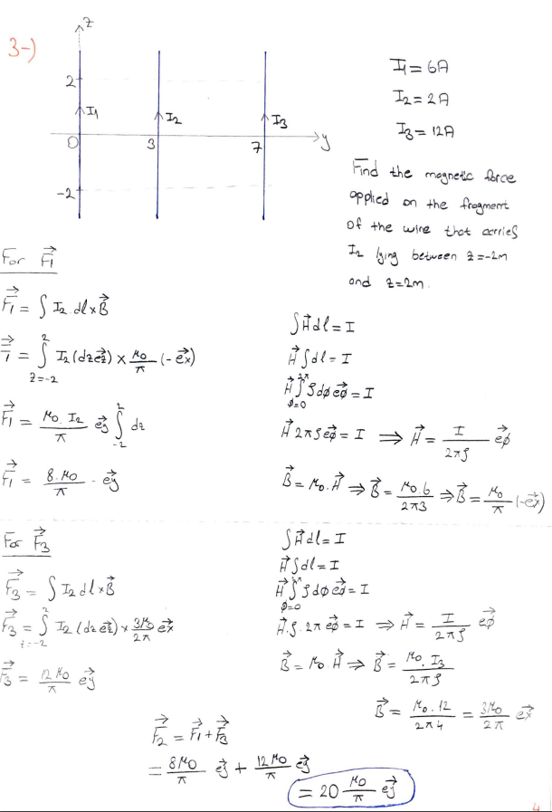
Electromagnetic Theory ( Examples)tulpar (50)in #steemstem • 8 years ago Electromagnetic Theory (Examples) Hi everybody this is my one of my electromagnetic theory homework. There are 3 examples in here. #science #physics #math #busy
OMG so good you are amazing kardeşim eline sağlık :D
Thanks bro teşekkürler :)