이카로스
갑자기 한국에 갈 일이 생겼습니다.
파리에서 한국가는 비행기를 타고,
구름 위를 날아오는 길에,
문득 생각이 나는 이야기가 있었습니다.
다이달로스의 아들 이카로스는,
하늘을 날고 싶은 욕망이 큰 나머지,
아버지의 당부에도 불구하고 너무 높이 올라버려,
태양열이 이카로스의 날개를 지탱하던 밀랍을 녹여,
그대로 추락하며 생을 마감했다는 이야기이죠.
현대지구과학적으로 생각할 때 말이 안된다고 생각할 수 있습니다.
학교에서 우리는 고도가 올라갈 수록 온도가 낮아진다고 배웠죠.
제가 탄 비행기 또한 3.7만피트, 즉 11 km 여 상공에서,
외부대기온도가 섭씨 영하 55도 정도는 찍었으니 말이죠.
이카로스가 만약 성층권 하부에서 비행기와 같은 속도와 고도로 계속 날았다면,
밀랍이 녹기는 커녕, 얼어죽었다고 하는게 더 정확할 겁니다.
경고 없이 태양의 열기가 밀랍을 부드럽게 만들고 녹였다.
매질없이 복사열로 녹인 것일까요?
태양복사열이 밀랍을 녹일 수 있을 정도면,
과연 이카로스는 얼마나 높게 난 것일까요?
여객기와 같은 11 km정도로는 택도 없을 것입니다.
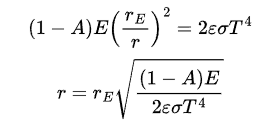
태양복사조도 (照度) 는 다음과 같이 태양과의 거리 (r) 의 제곱에 반비례합니다.
태양에서 지구까지의 거리 (r_E, 149597870691m) 기준에서의 태양 상수 (E, 1361 W/m2) 를 이용해 구한 태양복사조도로,
방사평형 (放射平衡) 상태에서의 태양 복사 에너지 흡수 일률은 다음과 같은 간단한 열복사 식으로 표현가능합니다.
천연 밀랍과 비슷한 파라핀의 열중성자 알베도 (A) 는 0.734,
유기물인 밀랍의 적외선 방사율 (ε) 은 대체로 0.95정도로 생각해도 나쁘진 않을 것 같습니다.
태양의 크기에 비해, 이카로스의 날개를 붙힌 밀랍의 크기는 매우 작다고 가정합시다.
아예 얇은 판이라고 생각하고, 태양 복사열을 받는 면적을 A_proj = B 라고 하고,
복사열을 받는 면적과 내뿜는 면적이 같다고 가정할 경우 A_emit = 2B 이므로,
위 식은 아래와 같이 간단히 바뀌게 됩니다.
밀랍의 평균 녹는 점은 섭씨 63도, 즉 336.15 켈빈입니다.
이 것을 T로 놓으면, 이카로스가 추락하기 시작한 태양에서의 거리, r은
76744356220m, 이카로스가 태양과 지구를 잇는 일직선상에 위치하고 있었다고 가정할 때,
구심점부터 72853514.4709 km, 평균 지표면부터 약 72847140 km 떨어진 상태라고 볼 수 있습니다.
땅에서 약 7천만 km 상공에서 바닷속으로 떨어지다니,
이카로스도 참 기구한 경험을 했네요.
참고로 금성이 지구에서 제일 가까울 때 2.4천만 km 떨어져 있으니,
이카로스는 금성 탐방도 했을 듯 합니다.




